Abstract
B cell-specific activator protein (BSAP)/Pax-5 is a paired domain DNA-binding protein expressed in the developing nervous system, testis, and in all B lineage cells, except terminally differentiated plasma cells. BSAP regulates transcription of several genes expressed in B cells and also the activity of the 3′ IgH enhancer. As it has binding sites within or 5′ to the switch regions of nearly all Ig heavy chain C region genes and also is known to increase transcription of the germline ε RNA, BSAP has been hypothesized to be involved in regulation of Ab class switch recombination. To directly examine the effects of BSAP on isotype switching, we use a tetracycline-regulated expression system to overexpress BSAP in the surface IgM+ I.29μ B cell line, a mouse cell line that can be induced to undergo class switch recombination. We find that overexpression of BSAP inhibits switching to IgA in I.29μ cells stimulated with LPS + TGF-β1 + nicotinamide, but enhances switching to IgE in cells stimulated with LPS + IL-4 + nicotinamide. Parallel to its effects on switching, overexpression of BSAP inhibits germline α RNA expression and the transcriptional activity of the germline α promoter, while enhancing activity of the germline ε promoter. Proliferation of I.29μ cells is not affected in this system. The possible mechanisms and significance of the effect of BSAP on isotype switching are discussed.
During an immune response, the isotype of Abs produced by B lymphocytes can be changed, resulting in different effector functions, while retaining the original Ag-binding specificity. This process, called Ig heavy chain class switching or isotype switching, is effected by a recombination event that results in juxtaposition of the assembled VHDHJH gene upstream of a new CH gene. Switch recombination occurs between tandemly repetitive DNA sequences, the switch (S) regions3 that are located 5′ of each CH gene except Cδ. The intervening DNA is looped out and deleted (1, 2).
Switch recombination to a particular isotype is preceded by transcription of the corresponding, unrearranged CH gene, producing what are termed germline transcripts. Transcription initiates at the I exon located 5′ to each S region and continues through the S region and CH gene. Splicing then removes the S region sequences and joins the I exon and CH exon. Both expression of germline transcripts and subsequent switch recombination are regulated by cytokines in concert with B cell activators (3, 4, 5, 6, 7). For example, TGF-β induces transcripts from the unrearranged Cα gene, and subsequently directs switching to IgA in LPS-activated mouse B cells (8, 9, 10), whereas IL-4 induces transcripts from the unrearranged Cγ1 and Cε genes and directs switching to IgG1 and IgE in LPS-activated B cells (3, 5, 11, 12, 13). Strict correlation between expression of germline transcripts and subsequent switch recombination led to the accessibility model of switch recombination, which proposes that transcription opens the S region (14, 15). More recent data suggested that the germline transcript itself may be required for switch recombination (16, 17).
Despite great progress in the field, the molecular mechanism of switch recombination and the protein factors involved in the process are still largely unknown. Several proteins, only a few of which are B lineage specific, have been implicated in the regulation of switch recombination, which is a B cell-specific event. For example, the NF-κB/Rel family (18, 19, 20, 21, 22, 23, 24, 25), the E2A gene product E47 (26), LR1/nucleolin (27), Sμbp-2 (28, 29), Ku protein (30), DNA-dependent protein kinase (31), poly(ADP-ribose) polymerase (Ref. 32, but see 33 , and BSAP/Pax-5 (34, 35, 36, 37) have all been implicated in switch recombination, but evidence for their direct involvement in the process is still missing or controversial (for review, see 6 . In an ongoing endeavor to identify and delineate potential proteins involved in switch recombination, we have chosen to analyze the effect of B cell-specific activator protein (BSAP)/Pax-5 on isotype switching.
BSAP, the product of the Pax-5 gene, is a member of a vertebrate multigene family of transcription factors that share the paired box DNA binding domain and are important regulators of early development (38, 39). Within the adult animal, BSAP expression is restricted to the B cell lineage, except for the testis. It is found in pro-B, pre-B, and mature B cells, but not in terminally differentiated plasma cells (34, 40, 41). BSAP is essential for the development of B cells since pax-5 gene knockout mice have no mature B cells and serum Igs, and B cell development in such mice is arrested at the pro-B stage (42, 43). BSAP binding sites have been identified in the regulatory sequences of a number of genes, including those encoding Ig heavy chain genes (to be detailed below), the Ig-α(mb-1) subunit of B cell Ag receptor (44), the B cell Ag receptor coreceptor CD19 (45, 46), the κ-light chain (47, 48, 49), the surrogate light chain genes VpreB1 and λ5 (49, 50, 51), J chain (52), B cell-specific tyrosine kinase Blk (53, 54), human X-box-binding protein-1 (55), the mouse engrailed gene (56), and the tumor suppressor gene p53 (57), although the functional significance of many of these sites in vivo is unknown (for reviews, see Refs. 58 and 59).
Several lines of evidence suggest that BSAP might be involved in Ab class switching. First, BSAP binding sites have been found 5′ to or within almost all IgH S regions examined, including Sμ, Sγ1, Sγ2a, Sγ3, Sε, and Sα (34, 60, 61, 62), and mutating the BSAP binding site in the germline Cε promoter decreases expression of this promoter (25, 35, 36). Second, BSAP binding sites exist in the IgH 3′ enhancer (63, 64, 65), mutation of which leads to defective germline RNA expression and isotype switching (66). Third, B cell proliferation is required for class switching (67, 68), and overexpression of BSAP in the CH12.LX B cell line augmented cell proliferation, whereas reducing BSAP expression in mouse splenic B cells by an antisense oligo was accompanied by reduced cell proliferation and decreased switching to IgG1, IgG2a, and IgG3 (37).
In our study, a tetracycline-regulated expression system was used to overexpress BSAP in the mouse surface IgM+ I.29μ B lymphoma cell line. This cell line can be induced to undergo switch recombination from IgM to IgA, or much less frequently to IgE (69). By comparing the switching of cells induced to switch in the absence of tetracycline (BSAP overexpressed) with those induced in the presence of tetracycline (no BSAP overexpression), effects of BSAP on isotype switching could be assayed. Our results demonstrate that overexpression of BSAP inhibits switching to IgA, but enhances switching to IgE, and both effects are mediated, at least in part, through BSAP binding sites in the promoters of germline transcripts.
Materials and Methods
Plasmids
The pPCRII/BSAP plasmid containing full-length mouse BSAP cDNA (65) was obtained from M. F. Neurath (National Institutes of Health, Bethesda, MD). The tetracycline-regulated expression system, which includes pTet-splice, pTet-TtAk, and pUHC13–3, has been described (70, 71) and was a gift from P. Shockett and D. G. Schatz (Yale Medical School, New Haven, CT). Plasmid pBABEpuro (72) containing the puromycin resistance gene (Puror) was obtained from R. M. Gerstein (University of Massachusetts Medical School, Worcester, MA). Plasmid pPGKNeobpA (73) containing the neomycin resistance gene (Neor) was obtained from A. Bradley (Baylor College of Medicine, Houston, TX). Reporter plasmids containing the luciferase gene driven by the germline α promoter −130/+14 segment (74) (M. J. Shi and J. Stavnezer, in preparation) or by the germline ε promoter −162/+53 segment (75) have been described. The internal control plasmid containing the β-galactosidase gene driven by PGK promoter, pPGKβ-gal (76), was obtained from P. Dobner (University of Massachusetts Medical School). The pcDNA3 expression vector was purchased from Invitrogen (San Diego, CA).
Standard molecular cloning techniques were followed in construction of the following plasmids. pTet-Splice-Neo: A 1.62-kb HindIII-XhoI fragment containing the Neor gene driven by the PGK promoter and followed by the bovine growth hormone polyadenylation signal was isolated from pPGKNeobpA and cloned into the NotI site of pTet-Splice after addition of NotI linkers. The resultant plasmid was designated pTet-Splice-Neo (Fig. 1). pTet-BSAP-Neo: A 1.2-kb XhoI fragment containing full-length murine BSAP cDNA was isolated from pPCRII/BSAP and cloned into the SalI site in the polylinker region of pTet-Splice-Neo to generate pTet-BSAP-Neo (Fig. 1). The same BSAP cDNA fragment was also cloned into the XhoI site of pcDNA3 for use as a template for in vitro transcription and translation. pTet-TtA-Puro: A 660-bp HindIII-ClaI fragment containing the Puror gene was isolated from pBABEpuro and cloned between HindIII and XhoI sites of pcDNA3 after addition of a XhoI linker to the blunt-ended ClaI terminus. A 1.66-kb NruI-PvuII fragment containing the CMV promoter, Puror gene, and bovine growth hormone polyadenylation signal was then excised from the resultant plasmid and cloned into the NotI site of pTet-TtAk after addition of NotI linkers to produce pTet-TtA-Puro (Fig. 1).
Tetracycline-regulated expression plasmids. Sources and constructions of plasmids are detailed in Materials and Methods. Plasmid backbone (pBluescript II KS(+); Stratagene, La Jolla, CA) is not shown. Only the relevant restriction sites are shown. TetP, minimal CMV promoter with seven copies of a regulatory sequence (tetO) from the tetracycline-resistant operon of Tn10 located upstream. PPGK, mouse phosphoglycerate kinase I promoter. Pcmv, functional CMV promoter. Neor, neomycin resistance gene. Puror, puromycin resistance gene. bGH poly(A), bovine growth hormone polyadenylation signal. SV40 splice/poly(A), mRNA splicing and polyadenylation signals derived from SV40 virus.
Tetracycline-regulated expression plasmids. Sources and constructions of plasmids are detailed in Materials and Methods. Plasmid backbone (pBluescript II KS(+); Stratagene, La Jolla, CA) is not shown. Only the relevant restriction sites are shown. TetP, minimal CMV promoter with seven copies of a regulatory sequence (tetO) from the tetracycline-resistant operon of Tn10 located upstream. PPGK, mouse phosphoglycerate kinase I promoter. Pcmv, functional CMV promoter. Neor, neomycin resistance gene. Puror, puromycin resistance gene. bGH poly(A), bovine growth hormone polyadenylation signal. SV40 splice/poly(A), mRNA splicing and polyadenylation signals derived from SV40 virus.
Cell culture and derivation of transfected cell lines
22D, a subclone of the mouse B lymphoma cell line I.29μ (3, 69), was cultured at 37°C in an atmosphere of 8% CO2 in RPMI 1640 medium, as described (32).
To derive stably transfected lines, cells were washed three times in and resuspended in RPMI 1640 medium without supplements. A total of 2 × 107 cells in 1 ml vol was mixed with 20 to 50 μg plasmid DNA in a cuvette. Transfection was conducted by electroporation using Cell Zap II (Anderson Electronics, Brookline, MA) set at 1250 μF and 300 V (750 V/cm). Following electroporation, cells were rested at room temperature for 10 min, added to 50 ml complete medium containing tetracycline (1 μg/ml) (Sigma, St. Louis, MO), and cultured for 24 to 44 h. Cells were pelleted, resuspended in fresh medium containing appropriate antibiotics (1 μg/ml tetracycline, 1 μg/ml puromycin, and/or 400 μg/ml G418), and distributed into 96-well plates at 5 × 104 cells/200 μl/well. Selection was conducted for 10 to 20 days. Cells from select clones were sorted for IgM+/IgA− cells by flow cytometry, and after sorting, more than 99.5% cells were IgM+ and less than 0.1% were IgA+. Cells were cultured in the presence of tetracycline and puromycin and/or G418, except when the assays for function were performed, at which time the cells were washed three times in RPMI 1640 medium without supplements to remove tetracycline and selection drug(s), and then cultured with or without tetracycline for the indicated times.
Switching assay
To induce isotype switching, 105 cells/ml were cultured at 1 ml/well in 24-well plates. LPS (50 μg/ml) from Escherichia coli 055:B5 (Sigma), 10 mM nicotinamide (Sigma), and either 2 ng/ml human TGF-β1 (R&D Systems, Minneapolis, MN) for IgA switching or 12,000 U/ml mouse rIL-4, made in a baculovirus expression system and a gift from W. E. Paul (National Institutes of Health) for IgE switching, were added on day 0. After 24 h, 0.8 ml supernatant was removed from each well and replaced with 1 ml of fresh medium. For IgA switching, TGF-β1 was added again at day 1 and day 2, and the cells were analyzed at day 3. For IgE switching, rIL-4 was added again at days 1, 3, and 5. At days 3 and 5, cells were resuspended, and 0.8-ml cell suspension was removed and replaced with 0.8 ml of fresh medium with or without LPS (8.3 μg/ml) and 1.6 mM nicotinamide before addition of rIL-4. Cells were analyzed on day 7.
For immunofluorescence analysis by FACS, cells were pelleted and resuspended in 50 μl of PBS containing 1.5% FCS and 0.2% NaN3. For IgA switching analysis, they were stained with affinity-purified goat anti-mouse IgM-FITC and goat anti-mouse IgA-phycoerythrin (Southern Biotechnology, Birmingham, AL), washed, and subsequently fixed with 1.1% paraformaldehyde. For IgE switching analysis, cells were first incubated with rat anti-mouse IgE mAb (LO-ME-3; Serotec, Raleigh, NC) on ice for 30 min, washed three times, and then incubated with a mixture of goat anti-mouse IgM-FITC and F(ab′)2 goat anti-rat IgG-phycoerythrin (Jackson ImmunoResearch, West Grove, PA), washed, and fixed as above. Staining withstood treatment with pH 4 acetate buffer (77), ensuring that membrane-bound Igs (mIgs) were not adventitiously bound to FcR. Cells were analyzed on a FACScan (Becton Dickinson, Mountain View, CA), and forward and side scatter were set to include live lymphocytes. Data were plotted using WinList 3.0 (Verity Software House, Topsham, ME). Inhibition of switching was calculated as: percentage of inhibition = 100 × (1 − fraction (or %) IgA+ cells without tetracycline/fraction (or %) IgA cells with tetracycline). The enhancement of switching was calculated as: fold = IgE+ cells without tetracycline/IgE+ cells with tetracycline.
Northern blot and Southern blot hybridization
Total RNA was isolated from cultured cell lines using the Ultraspec RNA isolation system (Biotecx Laboratories, Houston, TX), according to the manufacturer’s protocol. Genomic DNA was isolated using the proteinase K digestion/phenol extraction method, as previously described (69). Northern blot hybridization (10) and Southern blot hybridization (69) were performed as described. The Iα, Cε, and GAPDH probes (10) were described previously. The BSAP probe is a 1.2-kb XhoI cDNA fragment isolated from pCRII/BSAP, and the Neo probe is a 1.62-kb XhoI fragment isolated from pPGKNeobpA. Probes were labeled by random priming. Quantitation of hybridization was performed using a Fluor-S MultiImager system (Bio-Rad, Richmond, CA).
Western blot analysis
A total of 3 to 5 μg nuclear extract was mixed with SDS sample buffer in a final volume of 10 μl and boiled for 5 min before loading onto a 10% SDS-polyacrylamide minigel. The samples were electrophoresed at 200 V for 30 to 60 min and transferred onto an Immobilon P membrane (Millipore, Bedford, MA) at 100 V for 1 h. The membranes were blocked for 2 to 4 h in 5% nonfat milk dissolved in PBS containing 0.1% Tween-20. A 1/10,000 dilution of rabbit anti-human BSAP antiserum directed to the DNA binding domain of BSAP (41) (from M. Busslinger, Research Institute of Molecular Pathology, Vienna, Austria) was incubated with blocked membranes at 4°C overnight with continuous shaking. Membranes were washed three times in PBS/0.1% Tween-20, incubated at room temperature in a 1/2000 dilution of a horseradish peroxidase-conjugated goat anti-rabbit IgG Ab (Santa Cruz Biotechnology, Santa Cruz, CA), washed again, and developed using an ECL kit (Amersham, Arlington Heights, IL). Densitometry was performed using a Molecular Dynamics (Sunnyvale, CA) Personal Densitometer SI and analyzed by Bio-Rad MultiAnalyst.
Nuclear extract preparation and in vitro translation
Nuclear extracts from cell lines were prepared using the method of Schreiber et al. (78). Protein concentration was determined by the Bradford assay (Bio-Rad). In vitro translation of BSAP protein was conducted using a TNT T7-coupled reticulocyte lysate system (Promega, Madison, MI), according to the manufacturer’s protocol with the BclI-linearized pcDNA3 plasmid with or without BSAP cDNA insert as template.
Electrophoretic mobility shift assay (EMSA)
The sequences of the top strand of double-stranded oligonucleotide probes used in EMSAs are: CD19, 5′-GAATGGGGCACTGAGGCGTGACCACCGC-3′; IRF-1, 5′-GGAAGCGAAAATGAAATTGACT-3′.
The dsCD19 binding site was produced by mixing complementary single-strand oligonucleotides at 0.1 μM each in 100 mM NaCl, 10 mM Tris-HCl, pH 8, and 1 mM EDTA, and incubating at 95°C for 10 min, followed by incubation at 10°C below the melting temperature (Tm) for 1 h and slow cooling to room temperature. The annealed oligonucleotides were purified on polyacrylamide gels, ethanol precipitated, and dissolved. The dsIRF-1 oligo, containing a binding site for IFN-regulatory factor-1, purchased from Santa Cruz Biotechnology, was used directly. Oligonucleotides were end labeled with [γ-32P]ATP using T4 polynucleotide kinase. The probes for the Iα promoter region were generated by PCR using the germline α promoter luciferase reporter plasmid as template.
DNA-binding reactions were performed in 16 μl vol containing 0.3 to 0.5 ng (30,000–50,000 cpm) probe, 1 to 10 μg nuclear extract, and 4 μg poly(dI-dC) (Pharmacia, Piscataway, NJ). For reactions using in vitro translation products, 0.1 μg poly(dI-dC) was used. The final concentration of NaCl in each reaction was adjusted to 100 mM by adding buffer C (78). The reaction mixtures were incubated at room temperature for 30 min and then loaded onto a 5% native polyacrylamide gel. The gels were electrophoresed in recirculating 0.5× TBE buffer at 140 V for 3 to 4 h. Antiserum (1 μl) or competitors were added to nuclear extracts before other components were added. The probe was always added last.
Transient transfection, luciferase assay, and β-galactosidase assay
Transient transfections were performed in essentially the same way as for derivation of stably transfected cell lines, except that cells were precultured with or without tetracycline for 2 days before transfection, and 5 × 107 cells were mixed with 50 μg each of the reporter plasmid and pPGKβ-gal before electroporation. Cells were then cultured at 1.25 × 106/ml with or without various stimuli for 24 h and assayed for luciferase (79) and β-galactosidase (80) activity, as described. The β-galactosidase activity was used as an internal control for variation in transfection efficiency.
[3H]TdR incorporation
Cells were cultured in a final volume of 200 μl under the conditions used for assaying switching for 3 days, and [3H]thymidine (1 μCi) (Amersham) was added to the cultures for the final 6 h. Cells were harvested onto glass fiber filters with an automatic cell harvester, and incorporation of [3H]thymidine was quantitated.
Digestion-circularization PCR (DC-PCR)
DC-PCR was performed as described (81). Briefly, genomic DNA was isolated from cells after 7 days of culture under conditions for switching to IgE. DNA was digested with EcoRI and ligated under dilute conditions (81) to produce circles. After determination of the effective template concentration (see below), detection of Sμ-Sε switch recombination was performed by PCR amplification of a 648-bp fragment with a primer complementary to sequences 5′ to Sμ (5′-GGAGACCAATAATCAGAGGGAAG-3′) (81) and a primer derived from sequences in the Cε membrane exon region (5′-GCAGAGCATCCTCACATACA-3′) (82). PCR was performed using the Expand High Fidelity PCR System (Boehringer Mannheim, Indianapolis, IN), as follows: reaction mixture was heated at 95°C for 10 min before addition of enzyme (hot start); 5 cycles of 94°C for 45 s, 58°C for 60 s, and 72°C for 90 s were then conducted, followed by 25 cycles of 94°C for 45 s, 62°C for 60 s, and 72°C for 90 s; the final incubation was at 72°C for 10 min. A portion (20 μl) of PCR product was analyzed by Southern blot hybridization with an end-labeled internal oligonucleotide probe derived from the Cε membrane exon region (5′-TAGGTGCGATGCCAGCAC-3′) (82). As a control for variation in amounts of DNA, efficiency of digestion, and ligation, primers from an EcoRI fragment of the mouse nicotinic acetylcholine receptor β subunit (nAChR) (5′-GACTGCTGTGGGTTTCACCCAG-3′ and 5′-AGGCGCGCACTGACACCACTAAG-3′) (81) were used to amplify a 753-bp fragment. PCR conditions were the same as for Sμ-Sε, except that the annealing temperature was 65°C for the first 5 cycles and 68°C for another 25 cycles. PCR products were analyzed by Southern blot hybridization with an end-labeled internal oligonucleotide probe (5′-CCAGCCCTGTTTGCCTAAGC-3′). The template concentration in the ligation product of each DNA sample was determined using a competitive substrate method (81) by titrating varying amounts of p2AO plasmid, obtained from E. E. Max (Food and Drug Administration, Bethesda, MD), into a constant amount of ligation products before amplification of nAChR fragment. Preliminary experiments established that under the conditions detailed above, the PCR reaction was unsaturated.
Results
Tetracycline-regulated overexpression of BSAP in cultured I.29μ (22D) cells
To analyze the effect of BSAP on Ab class switching, we overexpressed BSAP using a tetracycline-regulated expression system (70) consisting of two plasmids, pTet-TtA-Puro and pTet-BSAP-Neo (Fig. 1). This approach was chosen because it eliminates variability due to site of integration and intrinsic differences among subclones of the I.29μ B cell line (3) (G. Q., laboratory observations). Furthermore, the approach of overexpression seemed feasible because BSAP levels appear to be limiting, as a heterozygous knockout mouse has a phenotype (42), and constitutive overexpression of BSAP in two B cell lines was shown to suppress Ig secretion (83).
We first stably transfected the plasmid encoding the tetracycline-inhibitable TtAk transactivator, pTet-TtA-Puro, into the 22D subclone of I.29μ. Fewer than 5% of the wells from the transfection showed colony growth, making it statistically highly likely that cells from an individual well were derived from a single clone, and thus, the cells were not further subcloned. The 22 clones obtained were screened for expression of the TtAk transactivator in the absence of tetracycline, as assayed by their abilities to induce luciferase expression from a transiently transfected reporter plasmid (pUHC13-3) (71). We also screened for their abilities to be induced to switch to IgA by LPS and TGF-β1. One clone, designated TtA/22D, was found to best fulfill these two criteria. As shown in Table I, in the presence of tetracycline, luciferase activity in this clone is as low as in untransfected 22D cells, and removing tetracycline induces luciferase activity from the reporter plasmid by 45- to 67-fold. Switching to IgA in 22D cells or in TtA/22D cells is not affected by tetracycline (see below).
Characterization of pTet-TtAk-Puro-transfected 22D clones
| Cells . | Reporter Gene Assays (light units)a . | . | . | . | . | . | |||||
|---|---|---|---|---|---|---|---|---|---|---|---|
| . | Expt. I . | . | . | Expt. II . | . | . | |||||
| . | Tet+ . | Tet− . | Fold . | Tet+ . | Tet− . | Fold . | |||||
| 22D/TtA | 221 | 9,936 | 45.0 | 224 | 15,005 | 67.0 | |||||
| 22D | 335 | 401 | 1.2 | 238 | 257 | 1.1 | |||||
| Cells . | Reporter Gene Assays (light units)a . | . | . | . | . | . | |||||
|---|---|---|---|---|---|---|---|---|---|---|---|
| . | Expt. I . | . | . | Expt. II . | . | . | |||||
| . | Tet+ . | Tet− . | Fold . | Tet+ . | Tet− . | Fold . | |||||
| 22D/TtA | 221 | 9,936 | 45.0 | 224 | 15,005 | 67.0 | |||||
| 22D | 335 | 401 | 1.2 | 238 | 257 | 1.1 | |||||
2 × 107 cells were transfected with 40 μg of pUHC13-3 (71) plasmid and cultured with or without tetracycline (1 μg/ml) for 2 days before luciferase activity was measured.
The plasmid encoding BSAP under control of the tetracycline-inhibitable promoter, pTet-BSAP-Neo, was then stably transfected into TtA/22D cells, and G418-resistant clones were selected. A total of 35 of 432 wells (8.1%) showed growth, and 32 of these clones were screened by Western blotting for induced expression of BSAP in the absence of tetracycline. Four of the clones showing the highest levels of inducible BSAP expression were chosen for further analysis.
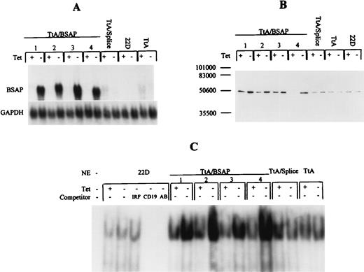
The Western blotting analyses of nuclear extracts from these four clones (Fig. 2,B), cultured in the presence or absence of tetracycline, demonstrate the overexpression of BSAP in the four clones, in comparison with 22D cells expressing only the transactivator (TtA), and 22D/TtA cells transfected with the empty vector pTet-Splice-Neo (TtA/Splice) and untransfected 22D cells. Similar levels of BSAP protein are detected in the control clones and in 22D cells and in the BSAP-transfected clones cultured in the presence of tetracycline. Presumably, this level represents endogenous BSAP. Densitometry analysis of this blot indicated that BSAP levels are induced by two- to fourfold in the TtA/BSAP clones 1–3 in the absence of tetracycline (see legend). Clone 4 appears to have a greater induction due to the very low level of BSAP in the presence of tetracycline, when this same nuclear extract was analyzed in Figure 2 C, a 4.5-fold induction was observed. Southern blot hybridization of genomic DNA isolated from these clones using BSAP and Neo probes showed a single specific band whose size differed among the clones, confirming their clonality and indicating their independence from each other (data not shown).
Tetracycline-regulated overexpression of BSAP by stably transfected 22D clones. Designation of the stably transfected clones is explained in the text. A, Northern blot hybridization of 10 μg of total RNA isolated from the indicated clones cultured without or with tetracycline (1 μg/ml) for 2 days, fractionated in a 1.2% agarose gel, and transferred to a nylon membrane. The blots were sequentially hybridized with probes specific for BSAP mRNA and GAPDH mRNA. B, Western blot of 4.5 μg of nuclear extracts isolated from the indicated clones cultured without or with tetracycline (1 μg/ml) for 2 days. The positions of m.w. markers are indicated at the left side of the blot. Densitometry indicated the induction was 2-, 4.4-, 2-, and 16-fold for clones 1 to 4. C, EMSA using 1.5 μg of the same nuclear extracts as in B incubated with an end-labeled CD19 probe. Unlabeled competitors were used at 200-fold excess, and the sample labeled AB includes 1.5 μl of anti-BSAP antiserum. IRF is an oligo containing an IFN-γ-regulatory factor-1 binding site. Densitometry indicated the induction was 2.2-, 2-, 1.9-, and 4.5-fold for clones 1 to 4.
Tetracycline-regulated overexpression of BSAP by stably transfected 22D clones. Designation of the stably transfected clones is explained in the text. A, Northern blot hybridization of 10 μg of total RNA isolated from the indicated clones cultured without or with tetracycline (1 μg/ml) for 2 days, fractionated in a 1.2% agarose gel, and transferred to a nylon membrane. The blots were sequentially hybridized with probes specific for BSAP mRNA and GAPDH mRNA. B, Western blot of 4.5 μg of nuclear extracts isolated from the indicated clones cultured without or with tetracycline (1 μg/ml) for 2 days. The positions of m.w. markers are indicated at the left side of the blot. Densitometry indicated the induction was 2-, 4.4-, 2-, and 16-fold for clones 1 to 4. C, EMSA using 1.5 μg of the same nuclear extracts as in B incubated with an end-labeled CD19 probe. Unlabeled competitors were used at 200-fold excess, and the sample labeled AB includes 1.5 μl of anti-BSAP antiserum. IRF is an oligo containing an IFN-γ-regulatory factor-1 binding site. Densitometry indicated the induction was 2.2-, 2-, 1.9-, and 4.5-fold for clones 1 to 4.
A Northern blot of total cell RNA from the individual clones cultured in the presence or absence of tetracycline (Fig. 2 A) showed that a 2.4-kb band, as expected for BSAP mRNA transcribed from the transfected plasmid, was detected only in cells transfected with the BSAP expression plasmid (TtA/BSAP 1–4) cultured in the absence of tetracycline, but not in the same cells cultured in the presence of tetracycline, nor in parental 22D/TtA cells, nor in 22D/TtA cells transfected with the empty vector (TtA/Splice), nor in untransfected 22D cells. Hybridization of the same blot with a GAPDH probe showed that similar amounts of RNA were loaded in each lane. It should be noted that endogenous BSAP mRNA is 10 kb in length (83) and barely detectable under the conditions we used (data not shown). We conclude that expression of the TtA/BSAP plasmids is highly inducible, but the effective induction of BSAP relative to endogenous BSAP ranges from 2- to 4.5-fold in the clones examined.
To determine whether the overexpressed BSAP results in enhanced BSAP DNA-binding activity, the nuclear extracts used for the Western blots in Figure 2,B were analyzed by EMSA using a double-stranded oligonucleotide probe derived from the mouse CD19 promoter, which contains a high affinity BSAP binding site (84). As shown in Figure 2,C, a predominant shifted complex, which is induced by the removal of tetracycline, is detected in the four clones. This complex comigrates with a complex in 22D cells that was demonstrated to bind specifically by competition with an unlabeled CD19 probe, but not by an irrelevant oligo (IRF) (Fig. 2 C). The complex was also inhibited by an anti-BSAP antiserum specific for the DNA binding domain and previously shown to inhibit DNA binding by BSAP (41), thus demonstrating that the complex contains BSAP. Thus, the rBSAP expressed from the transfected plasmid is capable of binding to its recognition site, and therefore should be functional.
Overexpression of BSAP inhibits switching to IgA
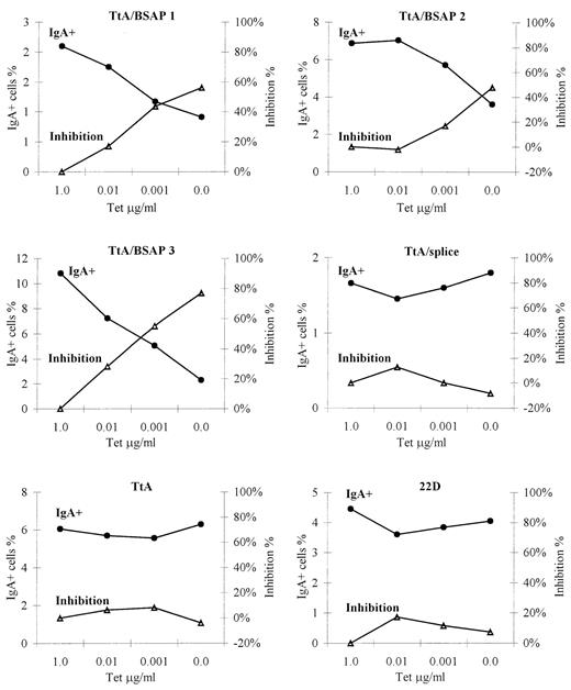
The effect of BSAP overexpression on isotype switching was assessed by stimulation of the transfected clones with inducers of class switching in the presence or absence of tetracycline. Cells were stimulated with LPS, TGF-β1, and nicotinamide to induce IgA switching. Nicotinamide was demonstrated previously to increase switch recombination in I.29μ cells due to its ability to inhibit poly(ADP-ribose) polymerase (32). The levels of switching were quantitated by flow-cytometric analysis of mIgM and mIgA. As shown in Figures 3 and 4, switching to IgA by the four TtA/BSAP clones is reduced by 50 to 80% when cells are stimulated in the absence of tetracycline, whereas switching by TtA, TtA/Splice, and 22D cells is not affected under the same conditions. These data indicate that inhibition is not due to enhancement of switching by tetracycline, nor to the expression of the TtAk transactivator, but rather due to the overexpression of BSAP. The inhibition is inversely correlated with the concentration of tetracycline (Fig. 4); therefore, the inhibition increases as the levels of BSAP increase.
FACS data demonstrating inhibition of IgA switching by overexpressed BSAP. Cells from the indicated clones were stimulated with LPS, TGF-β1, and nicotinamide in the presence or absence of tetracycline for 3 days, and the proportions of mIgA+ and mIgM+ cells were determined by flow cytometry. Tetracycline was removed at the time of the induction of switching. The percentage of mIgA+ cells is indicated within each plot. mIgA+ cells are always less than 0.5% in the absence of stimuli, regardless of the presence or absence of tetracycline. Three independent experiments were performed, and similar results were obtained.
FACS data demonstrating inhibition of IgA switching by overexpressed BSAP. Cells from the indicated clones were stimulated with LPS, TGF-β1, and nicotinamide in the presence or absence of tetracycline for 3 days, and the proportions of mIgA+ and mIgM+ cells were determined by flow cytometry. Tetracycline was removed at the time of the induction of switching. The percentage of mIgA+ cells is indicated within each plot. mIgA+ cells are always less than 0.5% in the absence of stimuli, regardless of the presence or absence of tetracycline. Three independent experiments were performed, and similar results were obtained.
Inhibition of IgA switching correlates with decreasing concentration of tetracycline. Cells of the indicated clones were induced for switching to IgA in the presence of decreasing concentrations of tetracycline. Tetracycline levels were adjusted at the start of the induction of switching. Both the percentage of IgA+ cells (closed circles, left axis) and the percentage of inhibition (open triangles, right axis) of switching are shown.
Inhibition of IgA switching correlates with decreasing concentration of tetracycline. Cells of the indicated clones were induced for switching to IgA in the presence of decreasing concentrations of tetracycline. Tetracycline levels were adjusted at the start of the induction of switching. Both the percentage of IgA+ cells (closed circles, left axis) and the percentage of inhibition (open triangles, right axis) of switching are shown.
Since BSAP has been shown to be required for B cell proliferation (37), it was possible that inhibition of switching could be due to overcrowding of cells, resulting from greater proliferation in the presence of overexpressed BSAP. We found, however, that varying the concentration of cells from 0.25 to 4 × 105 cells/ml had no effects on the inhibition (data not shown). Furthermore, overexpression of BSAP in this system does not affect proliferation of I.29μ cells (Fig. 5). Although [3H]TdR incorporation is slightly reduced in the presence of LPS, TGF-β1, and nicotinamide, it is not affected by the presence or absence of tetracycline. These data indicate that inhibition of switching to IgA in the transfected clones is not due to the effect of BSAP on cell proliferation.
Overexpression of BSAP does not affect cell proliferation. Cells from the indicated clones were cultured with or without LPS/TGF-β1/nicotinamide (LTN) in the absence or presence of tetracycline (1 μg/ml) under the same conditions used for inducing IgA switching, and [3H]TdR was added in the last 6 h of culture. Means and SEs of three independent experiments are shown.
Overexpression of BSAP does not affect cell proliferation. Cells from the indicated clones were cultured with or without LPS/TGF-β1/nicotinamide (LTN) in the absence or presence of tetracycline (1 μg/ml) under the same conditions used for inducing IgA switching, and [3H]TdR was added in the last 6 h of culture. Means and SEs of three independent experiments are shown.
Overexpression of BSAP reduces the levels of germline α transcripts and inhibits the germline α promoter
The inability of BSAP overexpression to affect cell proliferation prompted us to search for other possible mechanisms for its inhibitory effect on IgA switching. Since switching is regulated by induction of germline transcripts, we tested the effect of BSAP overexpression on the expression of germline α transcripts. As shown in Figure 6, the levels of germline α RNA detected by an Iα probe on Northern blots in cells treated under the same conditions used to induce class switching are reduced by 35 to 80% when the TtA/BSAP clones are cultured in the absence of tetracycline, as compared with clones cultured in the presence of tetracycline. Germline α RNA levels in TtA/Splice, TtA, or 22D cells show little or no inhibition under the same conditions. Figure 6 B shows the quantitation of the Iα signals, normalizing with the GAPDH signals obtained from rehybridization of the same blots. The percentage of inhibition of IgA switching by BSAP overexpression is similar to, or slightly greater than, the inhibition of germline α transcript levels during induction of class switching in the transfected clones and is inversely correlated with the levels of BSAP induced in these clones.
Inhibition of germline α RNA expression by overexpressed BSAP. A, Total RNAs (10 μg) were isolated from the indicated clones cultured with LPS, TGF-β1, and nicotinamide (LTN) in the absence or presence of 1 μg/ml tetracycline (Tet) for 24 h. Cells were not precultured in the absence of Tet. The blot was sequentially hybridized with probes specific to the Iα exon and GAPDH mRNA. B, The levels of germline α RNA were quantitated by scanning the blot in A, normalizing against the GAPDH mRNA signals (shown in A). The inhibition of germline α RNA in the absence of tetracycline as compared with that in the presence of tetracycline is shown.
Inhibition of germline α RNA expression by overexpressed BSAP. A, Total RNAs (10 μg) were isolated from the indicated clones cultured with LPS, TGF-β1, and nicotinamide (LTN) in the absence or presence of 1 μg/ml tetracycline (Tet) for 24 h. Cells were not precultured in the absence of Tet. The blot was sequentially hybridized with probes specific to the Iα exon and GAPDH mRNA. B, The levels of germline α RNA were quantitated by scanning the blot in A, normalizing against the GAPDH mRNA signals (shown in A). The inhibition of germline α RNA in the absence of tetracycline as compared with that in the presence of tetracycline is shown.
To attempt to determine the mechanism of inhibition of germline α transcripts by BSAP, we examined its effect on expression of a transiently transfected luciferase reporter plasmid driven by the germline α RNA promoter (74). Figure 7 shows that luciferase activity was reduced in the absence of tetracycline in the TtA/BSAP clones that were tested, but not in TtA/Splice or 22D cells. The inhibition of luciferase activity was greater in cells stimulated with LPS plus TGF-β1 than in unstimulated cells. These data suggest that inhibition of IgA switching by overexpressed BSAP results, at least in part, from its inhibitory effect on the promoter for germline α transcripts.
Inhibition of germline α promoter by overexpressed BSAP. Percentage of inhibition of luciferase activity in the absence of tetracycline in clones transiently transfected with plasmids driven by the germline α promoter. Cells were precultured for 2 days in the absence or presence of Tet. After transfection, cells were divided and cultured without (Medium) or with LPS + TGF-β1 in the presence or absence of tetracycline for 24 h. Means and SEs of inhibition of the germline α promoter activity by overexpressed BSAP from three independent experiments are plotted. Inhibition both in the presence of LPS plus TGF-β1 (solid bars) and in their absence (open bars) is shown.
Inhibition of germline α promoter by overexpressed BSAP. Percentage of inhibition of luciferase activity in the absence of tetracycline in clones transiently transfected with plasmids driven by the germline α promoter. Cells were precultured for 2 days in the absence or presence of Tet. After transfection, cells were divided and cultured without (Medium) or with LPS + TGF-β1 in the presence or absence of tetracycline for 24 h. Means and SEs of inhibition of the germline α promoter activity by overexpressed BSAP from three independent experiments are plotted. Inhibition both in the presence of LPS plus TGF-β1 (solid bars) and in their absence (open bars) is shown.
BSAP binds to the germline α promoter
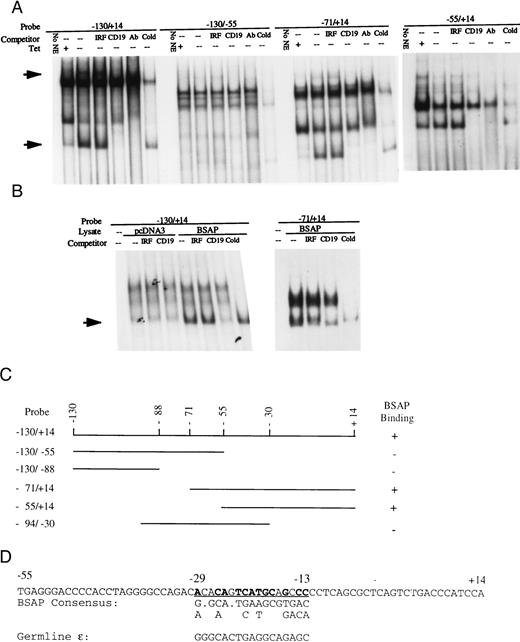
Although BSAP was found previously to bind to two sites located immediately 5′ to the Sα region, but which are 3′ to the Iα exon and thus not in the promoter of the reporter construct, inhibition of the germline α promoter activity by overexpressed BSAP suggests that BSAP might also bind to the germline α promoter region. To attempt to localize the BSAP binding site(s) in the promoter segment (−130 to +14) in the reporter plasmid, EMSAs were performed using various fragments of the germline α promoter as probes and nuclear extracts isolated from one TtA/BSAP clone (TtA/BSAP 4). When the promoter segment (−130/+14) is used as probe, two retarded complexes, which are enhanced by removing tetracycline from the culture media, are visible (Fig. 8,A). These two complexes are competed by the CD19 oligo, but not by the IRF-1 oligo, and inhibited by anti-BSAP antiserum, and hence are BSAP-containing complexes. Although the predominant lower complex is competed entirely by the CD19 oligo (at both 10- and 100-fold excess, Fig. 8,A and data not shown), it could only be partially competed by a 100-fold excess of unlabeled probe (Fig. 8 A), suggesting that the binding to the germline α promoter is of very low affinity.
Formation of BSAP-containing complexes with germline α promoter segments in EMSAs. A, 10 μg of nuclear extracts isolated from cells of TtA/BSAP clone 4 cultured without or with 1 μg/ml of tetracycline for 2 days was incubated with the indicated probes. The competitors were used at 100-fold excess. Ab is 1 μl of anti-BSAP antiserum and “Cold” is unlabeled probe. The first lane in each panel contains the probe without nuclear extract. B, 7 μl of reticulocyte lysate containing in vitro translated BSAP, incubated with the indicated probes. The same volume of lysate from a mock translation performed with control plasmid (pcDNA 3 without insert) was used as a negative control. The competitors were used at a 900-fold excess. Ab and the competitors are the same as in A. C, Summary of BSAP binding to various probes derived from the germline α promoter region. The first and last nucleotides of each probe are indicated. The numbering is such that the +1 is the first transcription initiation site of Iα RNA (92). The data are from A, B, and data not shown. D, Nucleotide sequence of the −55/+14 promoter segment with a possible BSAP binding site underlined. Bold letters indicate matches with the BSAP consensus element shown below (85). The BSAP binding site located at −38/−22 (or at −43/−27, according to Ref. 62) in the mouse germline ε promoter is also shown (35, 84).
Formation of BSAP-containing complexes with germline α promoter segments in EMSAs. A, 10 μg of nuclear extracts isolated from cells of TtA/BSAP clone 4 cultured without or with 1 μg/ml of tetracycline for 2 days was incubated with the indicated probes. The competitors were used at 100-fold excess. Ab is 1 μl of anti-BSAP antiserum and “Cold” is unlabeled probe. The first lane in each panel contains the probe without nuclear extract. B, 7 μl of reticulocyte lysate containing in vitro translated BSAP, incubated with the indicated probes. The same volume of lysate from a mock translation performed with control plasmid (pcDNA 3 without insert) was used as a negative control. The competitors were used at a 900-fold excess. Ab and the competitors are the same as in A. C, Summary of BSAP binding to various probes derived from the germline α promoter region. The first and last nucleotides of each probe are indicated. The numbering is such that the +1 is the first transcription initiation site of Iα RNA (92). The data are from A, B, and data not shown. D, Nucleotide sequence of the −55/+14 promoter segment with a possible BSAP binding site underlined. Bold letters indicate matches with the BSAP consensus element shown below (85). The BSAP binding site located at −38/−22 (or at −43/−27, according to Ref. 62) in the mouse germline ε promoter is also shown (35, 84).
To further localize the binding site(s), the promoter segment was divided into two parts (−130/−55 and −71/+14), and each was used as a probe in EMSAs. Two complexes, each enhanced in the absence of tetracycline, form with the −71/+14 segment. These complexes are competed by the CD19 oligo, are inhibited by anti-BSAP antiserum, and only partially competed by excess unlabeled probes. Complexes formed with the −130/−55 probe are barely affected by tetracycline. Using a further shortened probe (−55/+14), several weak and one readily detectable BSAP-containing complexes are formed that are competed by the CD19 oligo, and are inhibited by anti-BSAP antiserum. The modest tetracycline induction with this probe is probably due to the use of different nuclear extracts than those used in the other EMSAs.
To determine whether BSAP could bind to DNA in the absence of other components present in I.29μ nuclear extracts, we tested whether in vitro translated BSAP protein would bind to the α promoter. In vitro translated BSAP forms a complex with the −130/+14 segment that can be competed by the CD19 oligo, but is competed poorly by the unlabeled probe (Fig. 8,B). This complex is inhibited by anti-BSAP antiserum (data not shown). (The BSAP-containing complex migrates just slightly faster than a complex that also forms with the product of mock translation using an empty plasmid, pcDNA3, as template.) Similar to results obtained using nuclear extracts, the −71/+14 probe forms a complex with in vitro translated BSAP (upper part of doublet), which is competed by the CD19 oligo, but only partially by excess unlabeled probe (Fig. 8 B).
Since the −94/−30 segment does not bind the inducible complex (data not shown), the EMSA data suggest that a binding site for BSAP resides between −30 and +14. A sequence that partially matches (12 of 15 nucleotides) a consensus BSAP binding site (84, 85) is located at −29/−13 in the germline α promoter (Fig. 8, C and D).
Overexpression of BSAP enhances activity of the germline ε promoter and switching to IgE
BSAP binds to a high affinity binding site in the germline ε promoter region, mutation of which reduces the activity of the promoter in transfection assays (25, 35, 36, 75, 84). However, the effect of BSAP on switching to IgE has not been directly addressed. We first tested the effect of overexpression of BSAP on the activity of the germline ε promoter using the reporter gene assay. As shown in Figure 9, A and B, the luciferase activity obtained upon transient transfection of the reporter plasmid containing the germline ε promoter into two TtA/BSAP clones is increased an average of 1.7-fold in cells cultured in the absence of tetracycline. Mutations in the BSAP binding site (LSM−25/−15 and LSM−48/−30) abrogate or greatly reduce this enhancement. Control cells (TtA/Splice and 22D) show no enhancement of the germline ε promoter activity in the absence of tetracycline.
Enhancement of germline ε promoter activity by overexpressed BSAP. Transient transfection assays of the germline ε promoter activity in clones treated with LPS (L) + IL-4 (I). The indicated cells were precultured in the absence or presence of tetracycline (Tet) for 2 days. After transfection, they were treated as indicated for 24 h. The luciferase reporter plasmids contain either wild-type (WT) germline ε promoter −162/+53 segment, or the same ε promoter segment containing a LSM at −25 to −15 or at −48 to −30, which mutate the 3′ part and the 5′ part of BSAP recognition sequences, respectively. A, Means and SE of luciferase activities from three independent experiments are shown. The data between experiments are normalized in comparison with the luciferase activity of WT-162 in TtA/BSAP clone 1 in the presence of Tet. B, The data from A are presented as enhancement of the germline ε promoter activity in the presence of LPS plus IL-4 by tetracycline removal.
Enhancement of germline ε promoter activity by overexpressed BSAP. Transient transfection assays of the germline ε promoter activity in clones treated with LPS (L) + IL-4 (I). The indicated cells were precultured in the absence or presence of tetracycline (Tet) for 2 days. After transfection, they were treated as indicated for 24 h. The luciferase reporter plasmids contain either wild-type (WT) germline ε promoter −162/+53 segment, or the same ε promoter segment containing a LSM at −25 to −15 or at −48 to −30, which mutate the 3′ part and the 5′ part of BSAP recognition sequences, respectively. A, Means and SE of luciferase activities from three independent experiments are shown. The data between experiments are normalized in comparison with the luciferase activity of WT-162 in TtA/BSAP clone 1 in the presence of Tet. B, The data from A are presented as enhancement of the germline ε promoter activity in the presence of LPS plus IL-4 by tetracycline removal.
To test the effect of BSAP overexpression on IgE switching, the transfected clones were stimulated with LPS, IL-4, and nicotinamide in the presence or absence of tetracycline, and after 7 days of culture, the percentage of mIgE+ cells was analyzed by flow cytometry. As shown in Figure 10,A, the percentage of mIgE+ cells was increased when TtA/BSAP cells were induced to switch in the absence of tetracycline relative to the presence of tetracycline. Control cells (TtA/Splice, TtA, and 22D) showed no increase in mIgE+ cells under the same condition. The enhancement varied from 3.5- to 9.2-fold, depending on the clones tested (Fig. 10 B). In this experiment, we tested a new clone, TtA/BSAP 5, which was also inhibited from switching to IgA in the absence of tetracycline (data not shown). The percentage of mIgE+ cells was not affected by treating cells with acid (77), and thus was not due to binding of exogenous IgE to FcR (data not shown). Time-course experiments indicate that mIgE+ cells are detectable after 7 days of stimulation, but not after only 3 or 5 days (data not shown).
Enhancement of switching to IgE by overexpressed BSAP. Cells from the indicated clones were stimulated with LPS, IL-4, and nicotinamide for 7 days in the presence or absence of tetracycline, and the percentage of mIgE+ cells was determined by flow cytometry. A, Means and SE of percentage of mIgE+ cells from four independent experiments. B, The fold enhancement of mIgE+ cells in the absence of tetracycline calculated for the data in A.
Enhancement of switching to IgE by overexpressed BSAP. Cells from the indicated clones were stimulated with LPS, IL-4, and nicotinamide for 7 days in the presence or absence of tetracycline, and the percentage of mIgE+ cells was determined by flow cytometry. A, Means and SE of percentage of mIgE+ cells from four independent experiments. B, The fold enhancement of mIgE+ cells in the absence of tetracycline calculated for the data in A.
To confirm the enhancement of IgE switching by overexpressed BSAP, switching to IgE was assayed at the mRNA and DNA levels. Northern blot hybridization demonstrated the presence of the 1.9-kb mature ε-heavy chain mRNA in TtA/BSAP clones stimulated in the absence of tetracycline, but this mRNA was not detectable in control cells cultured under the same conditions (Fig. 11 A).
Enhancement of mature ε mRNA expression and Sμ-Sε recombination by overexpressed BSAP. Cells from the indicated clones were stimulated with or without LPS, IL-4, and nicotinamide (LIN) for 7 days in the presence or absence of tetracycline. A, Northern blot hybridization of 10 μg of total RNA. The blots were sequentially hybridized with Cε and GAPDH probes. E+ is RNA isolated from a mIgE+, switched clone of I.29 cells (69), used as positive control. B, Southern blot of DC-PCR amplification of genomic DNA (81). DNA samples containing equal amounts of template, as determined in preliminary experiments, were amplified and the PCR products were analyzed by Southern blot hybridization. The same DNA samples were assayed in parallel for Sμ-Sε recombination and for levels of a control gene nAChR (81). The semiquantitative nature of each DC-PCR was established by assaying twofold dilutions of a DNA sample and demonstrating first, a linear correlation between amount of DNA used in the PCR reaction and intensity of signal after hybridization with 32P-labeled specific probes, and second, the linear correlation holds at a template concentration at least 10-fold of that in the DNA sample giving rise to the highest intensity of signal (data not shown).
Enhancement of mature ε mRNA expression and Sμ-Sε recombination by overexpressed BSAP. Cells from the indicated clones were stimulated with or without LPS, IL-4, and nicotinamide (LIN) for 7 days in the presence or absence of tetracycline. A, Northern blot hybridization of 10 μg of total RNA. The blots were sequentially hybridized with Cε and GAPDH probes. E+ is RNA isolated from a mIgE+, switched clone of I.29 cells (69), used as positive control. B, Southern blot of DC-PCR amplification of genomic DNA (81). DNA samples containing equal amounts of template, as determined in preliminary experiments, were amplified and the PCR products were analyzed by Southern blot hybridization. The same DNA samples were assayed in parallel for Sμ-Sε recombination and for levels of a control gene nAChR (81). The semiquantitative nature of each DC-PCR was established by assaying twofold dilutions of a DNA sample and demonstrating first, a linear correlation between amount of DNA used in the PCR reaction and intensity of signal after hybridization with 32P-labeled specific probes, and second, the linear correlation holds at a template concentration at least 10-fold of that in the DNA sample giving rise to the highest intensity of signal (data not shown).
To determine whether the IgE switching occurred by Sμ-Sε recombination, a DC-PCR (81, 82) analysis of genomic DNA was performed. This analysis demonstrated that recombination between Sμ and Sε segments was enhanced in the TtA/BSAP clones stimulated with IL-4 + LPS + nicotinamide and cultured in the absence of tetracycline, relative to the clones cultured in the presence of tetracycline and to control cells stimulated in the presence or absence of tetracycline (Fig. 11 B). Taken together, these experiments demonstrate that overexpression of BSAP enhances transcription of the germline ε promoter and switch recombination to IgE in 22D cells.
Discussion
In this study, we demonstrate that overexpression of BSAP inhibits switching to IgA, but enhances switching to IgE in the mouse I.29μ B lymphoma cell line. At least part of the mechanism appears to be by regulation of transcription of the promoter for the corresponding germline transcripts, as overexpressed BSAP inhibits the promoter for germline α RNA, but enhances germline ε RNA promoter activities. The fold increase in BSAP levels correlated quite well with the levels of inhibition of IgA switching and germline α transcripts. Although the increase observed in activity of the germline ε promoter was slightly less than the fold increase in BSAP levels, the effect on switching to IgE appeared greater. It is possible that BSAP affects switching at additional levels besides regulating germline transcripts.
BSAP has long been suspected to play a role in switch recombination due to the presence of BSAP binding sites 5′ to and also within the S regions of almost all IgH genes, its expression within B cells, and absence from plasma cells, which do not normally undergo class switch recombination, and due to its previously known effects on the promoter for germline ε RNA. The effect of BSAP on class switch recombination has not been directly examined previously, except by Wakatsuki et al. (37), who demonstrated that an antisense oligonucleotide for BSAP mRNA decreased switching to IgG1 in in vitro cultured mouse spleen B cells. However, since cell proliferation was also inhibited in their experiments, they were unable to conclude that BSAP has a direct role in switch recombination. A major difficulty impeding progress in this direction is that mice lacking BSAP do not develop B cells (42, 43).
Therefore, we decided to analyze the effects of BSAP on class switching in a B cell line. The I.29μ B cell line was chosen, as it can switch from IgM to IgA or IgE in vitro by stimulation with LPS plus the appropriate cytokines. We encountered much difficulty in our initial efforts to assess the effects of overexpressed BSAP using a constitutive expression vector because different clones had vastly different abilities to be induced to switch, some entirely losing their switching capability, making it impossible to interpret the results. This difficulty was overcome by the use of an inducible expression system, allowing the effect of overexpression of BSAP to be tested in individual clones under well-controlled conditions. We used the tetracycline-regulated expression system developed by Shockett et al. (70) because of its low leakage and its minimal interference in cellular processes.
It has been well established that BSAP is involved in regulation of cell proliferation during B cell development and differentiation (86). Because cell proliferation appears to be required for switch recombination, it might well be one of the mechanisms by which BSAP regulates switch recombination (37). However, this effect of BSAP cannot fully explain its effects on switch recombination, because we found that cell proliferation was not affected by BSAP overexpression in 22D cells, and because BSAP overexpression has opposite effects on class switching to different isotypes, i.e., inhibiting IgA while enhancing IgE switching. The reason overexpressed BSAP does not affect proliferation of I.29μ cells may be because the endogenous level of BSAP may not be limiting for proliferation. I.29μ cells proliferate rapidly, doubling every 16 to 20 h (data not shown). It is also possible that enhanced proliferation by overexpressed BSAP may be masked by an inhibitory effect of the TtA transactivator, which is also induced in these clones by removal of tetracycline. It has been shown that prolonged induction or constitutive expression of TtA protein has cytotoxic effect (70 and references therein). Whatever the reason, our results clearly indicate that the effect of BSAP on switch recombination cannot be accounted for solely by its effects on cell proliferation.
BSAP binds both the germline ε and α promoters and regulates their activity
The binding site for BSAP in the germline ε promoter is centered at approximately −30 nucleotides 5′ to the first RNA initiation site in the mouse germline ε promoter (35, 75, 84), and approximately 10 nucleotides 5′ to the first RNA initiation site in the human ε promoter (36). Both mouse and human sites have good homology with the consensus BSAP-binding sequence and are of high affinity (35, 36, 84).
The previously mapped BSAP binding sites in the mouse Cα locus are located 3′ to the Iα exon (34), and thus are not present in the germline α promoter segment studied in this work. In the current study, we have provided evidence for a low affinity BSAP binding site in the −30/+14 germline α promoter segment. Visual inspection identified a sequence resembling a BSAP consensus binding site centered at −23 relative to the first RNA initiation site. Similar to results with the germline ε promoter (35), we detected two BSAP-containing complexes binding to the germline α promoter segment. By analogy with the ε-binding complexes, the faster migrating complex may contain BSAP alone, whereas the upper complex may contain BSAP plus one or more unknown proteins. Both complexes formed with the germline α promoter are completely competed by an oligo containing a high affinity BSAP binding site and are inhibited by an antiserum directed against BSAP DNA binding domain, suggesting they indeed include BSAP. Nevertheless, the fact that the complexes are only partially competed by a large excess of the unlabeled germline α promoter probe makes it difficult to definitively localize the binding site(s) for these complexes. Low affinity binding seems a plausible but possibly oversimplified explanation for the inability to compete.
Another mechanism by which BSAP may exert its effect on isotype switching is via its binding to the IgH 3′ enhancer. The IgH 3′ enhancer is composed of at least four DNase I hypersensitive (hs) segments. There are two well-defined BSAP binding sites in the 3′αE(hs1,2) segment, and BSAP binding to these two sites is inhibitory to enhancer activity in transfection assays (63, 65). Another BSAP binding site is located in the hs4 segment, and its effect on enhancer activity is not yet known (64). The four segments together make up a locus control region (87). Insertion of a Neor gene driven by the PGK promoter into the segment comprising hs1,2 by homologous recombination has been shown to lead to defective isotype switching and defective germline RNA expression (66).
Although we have not measured the effect of overexpressed BSAP on the activity of the IgH 3′ enhancer, the smaller effect of BSAP overexpression on the activity of the germline promoters relative to its greater effects on class switching suggests that additional mechanism(s) may be involved. In addition to the possible effect of the IgH 3′ enhancer, it is possible that the two additional BSAP binding sites located 3′ to the Iα exon may also contribute to effects on IgA switching (34).
BSAP has both stimulatory and inhibitory effects on transcription
The opposite effects of BSAP overexpression on transcriptional activities of germline α and ε promoters raise the interesting question of how this is achieved. This result indicates that the BSAP binding sites in the two germline promoters function differently. It has previously been reported that BSAP can activate or inhibit transcription, depending on the particular promoter or enhancer at which it binds. The mechanism for these opposite effects is unknown, although it has been demonstrated that BSAP contains both a transcriptional stimulatory and inhibitory domain (88). BSAP inhibits the J chain (52) and p53 promoters (57), but activates the CD19 (45, 46) and blk promoters (53, 54). Recent data suggest that the context of the binding site determines whether it will activate or inhibit transcription (89). Consistent with this, the binding of BSAP recruits the Ets family factors to the Ig-α(mb-1) promoter, resulting in transcriptional activation (44), but appears to inhibit the IgH 3′ (hs1, 2) enhancer activity by competition for binding with Ets family factors (90) and/or by interaction with Oct proteins and a protein binding a G-rich sequence (91).
As B cells differentiate to become capable of secreting high levels of Igs at the plasma cell stage, BSAP levels are down-regulated. Since germline transcripts are required for class switching, our results suggest that switching to IgE might occur preferentially in less differentiated B cells having high levels of BSAP, whereas IgA switching might occur more readily in highly activated B cells poised to begin secreting high levels of Ab. IgA switching occurs in Peyer’s patches in which B cells are highly activated by the Ags and mitogens transcytosed into the Peyer’s patches from the small intestine. IgE switching is not known to occur at these sites and presumably occurs within other secondary lymphoid organs. It is also possible that the low affinity of the BSAP binding site(s) in the germline α promoter may allow IgA switching in cells expressing levels of BSAP that stimulate transcription of the germline ε RNA, due to the higher affinity of the binding site in the germline ε promoter. It has been suggested that sites at which BSAP stimulates transcription are of higher affinity than the sites at which BSAP inhibits transcription (89).
Our data suggest that inhibition of BSAP expression in B cells as they are stimulated to undergo class switching should reduce switching to IgE and increase switching to IgA. If one could use this means to shift the balance of class switching from IgE to IgA, this might be useful clinically. Since IgA is secreted at mucosal surfaces and IgE is present on mast cells at mucosal surfaces, one could imagine that an increased production of IgA at mucosal surfaces might be able to compete with IgE for Ag binding, potentially resulting in a reduction of allergic responses.
Acknowledgements
We thank our colleague Dr. M.-J. Shi for providing unpublished information and several reagents used for the analysis of the binding sites for B cell-specific activator protein. We also thank Drs. M. F. Neurath, P. Shockett, D. G. Schatz, R. M. Gerstein, A. Bradley, E. E. Max, and P. Dobner for providing plasmids, Dr. W. E. Paul for mouse rIL-4, and Dr. M. Busslinger for antibody to B cell-specific activator protein/Pax-5. We are grateful to our colleagues Drs. C. Schrader, M.-S. C. Lin, and C. H. Shen, and to Dr. Busslinger for helpful discussion and comments.
Footnotes
This research was supported by Grant R01-AI23283 from National Institutes of Health.
Abbreviations used in this paper: S region, switch region; BSAP, B cell-specific activator protein; DC-PCR, digestion-circulation PCR; EMSA, electrophoretic mobility shift assay; GAPDH, glyceraldehyde-3-phosphate dehydrogenase; hs, hypersensitive; IRF, IFN-regulatory factor; LSM, linker-scanning mutation; mIg, membrane-bound Ig; Neor, neomycin resistance gene; Puror, puromycin resistance gene.




![FIGURE 5. Overexpression of BSAP does not affect cell proliferation. Cells from the indicated clones were cultured with or without LPS/TGF-β1/nicotinamide (LTN) in the absence or presence of tetracycline (1 μg/ml) under the same conditions used for inducing IgA switching, and [3H]TdR was added in the last 6 h of culture. Means and SEs of three independent experiments are shown.](https://aai.silverchair-cdn.com/aai/content_public/journal/jimmunol/161/6/10.4049_jimmunol.161.6.2906/3/m_im1887426005.jpeg?Expires=1676709508&Signature=YaWrKsHCEPtr4pIVJS8WEnpnDtb7CnCva7CE0EH6a5sxoyrMCWlsEGHKx9y8FzNhdzAP5Q1t8ChvGqyzINzj39P2mvEP9xMxbPR7sq1CI0X2G4FguR~tPu7c1dT-CGBpfN5EgTZ8hZS4MJjhL3nbFT~S7~CQgr8jTjOjrmIkaXM8UM~cKHcU3jjmZlPPbzOcGqTrKfH~BY4dCg7qWvmdee8LnMZ-seQLX~f~tTUovdDxXkME4DOfZRbNnvmusQt7ynKazQ~LhGmSQZb9lYleP9IHXYMOwUVZmowbpMQTWBbSoUbBnXYin-QR2EpPKylJCCwL7yMCUj1492PFy3jkJQ__&Key-Pair-Id=APKAIE5G5CRDK6RD3PGA)





