Abstract
In the mucosal immune system, resident dendritic cells are specialized for priming Th2-polarized immunity, whereas the Ag-presenting activity of macrophages has been linked with the development of Th1 phenotype. As an immune switch toward Th1 can protect against Th2-mediated allergic response, this study investigated the capacity of lung macrophages to stimulate Th1 responses during the secondary exposure to inhaled allergen, thereby suppressing Th2-mediated allergic airway inflammation in a murine model of allergic asthma. Following airway macrophage depletion in OVA-sensitized mice, lung T cells defaulted to a phenotype that produced less Th1 (IFN-γ) and more Th2 (IL-4 and IL-5) cytokines, leading to more severe airway hyperreactivity and inflammation after intranasal Ag challenge. After OVA pulsing and adoptive transfer, lung macrophages selectively promoted a Th1 response in Ag-sensitized recipients and did not induce pulmonary eosinophilia. By contrast, OVA pulsing and adoptive transfer of a lung cell preparation, consisting of dendritic cells, B cells, and macrophages, promoted a Th2 response with an associated inflammatory response that was suppressed when macrophages were present and pretreated with IFN-γ, but exacerbated when macrophages were depleted before IFN-γ treatment. In addition, Th1-promoting activity of lung macrophages was not related to the autocrine production of IL-12p40. These results suggest that the Th1-promoting APC activity may be an inherent property of the lung macrophage population, and may play an important role, upon stimulation by IFN-γ, in antagonizing an ongoing Th2 immunity and Th2-dependent allergic responses.
Persisting inflammation of the respiratory mucosa, characterized by an eosinophilic infiltrate, but also involving other cell types, including neutrophils, mast cells, basophils, and lymphocytes, is thought to be important in the pathogenesis of asthma and is associated with airway hyperresponsiveness (AHR),3 a hallmark of the disease. The recruitment of the inflammatory cells into the allergic lungs has been causally linked with local immune responses to inhaled Ag, with CD4+ Th2 subset playing a major role (1, 2, 3, 4). The importance of the induction of an adaptive Th2-polarized immunity at the bronchial mucosa in the pathogenesis of allergic asthma has been suggested by the fact that without local overproduction of type 2 cytokines IL-4, IL-5, and IL-13, the eosinophilic airway inflammation and AHR cannot develop in Ag-sensitized mice (5, 6, 7). Th2-polarized inflammatory responses have also been documented in human asthma, in which increased IL-4 and IL-5 mRNA expression and protein secretion in the bronchial biopsies and bronchoalveolar lavage (BAL) cells are related to clinical parameters of the disease (8, 9, 10, 11).
The expansion of memory Th2-type cells during the secondary exposure to allergen, in addition to the commitment of naive T cells to this phenotype in the primary response, is required for the development of the Th2 immunity in allergic asthma. A critical step in triggering the secondary immune responses in the lung is the presentation of inhaled allergen to the memory T cells by local APCs. Increasing evidence suggests that an already deviated T cell response can be reversed or further augmented depending on the type of APCs responsible for restimulation and the ensuing secondary immune response (1, 12, 13). Dendritic cells (DCs) in the respiratory tracts have been specialized for mobilizing a default Th2 immunity at the mucosal sites (14). Indeed, studies on allergic murine models of asthma, primarily using gene suicide or disruption techniques, have demonstrated that DCs are essential for the presentation of inhaled allergen to previously activated Th2 cells in the lung and critical for the subsequent development of chronic allergic airway inflammation (1). By contrast, B cells do not appear to be essential for Ag presentation in the airways, even though they are also characterized as Th2-promoting APCs (13, 15). One key question, not yet answered, is whether the resident macrophages are involved in the development of a lung mucosal allergic immunity. The importance of this issue is emphasized by studies showing that the APC activity of macrophages is associated with the development of Th1 cells and the attenuation of Th2 responses in other systems (10, 16, 17, 18). This effect is believed to occur through macrophage IL-12 production (19), since IL-12, as well as IFN-γ, is effective for directing a primary immunity through Th1 pathways (20, 21). However, resident DCs are also competent in IL-12 secretion (22), and both IL-12-producing APC types appear to have differing effects on the cellular and humoral immunology in the allergic process (1, 12, 14). Furthermore, IL-12 has been reported to enhance rather than to suppress ongoing Th2-type responses in certain circumstances (23, 24, 25, 26). Together, these results indicate that IL-12 production may not be able to account completely for the Th1-promoting activity of macrophages. In addition, the potential in vivo effects of the resident macrophages on antagonizing Th2-mediated allergic inflammation in the lung have not been described.
This study aimed to determine the role of macrophages in the lung allergic immunity in a mouse asthma model, previously characterized to develop eosinophilic airway inflammation and AHR (3, 13). Initially, we use alveolar macrophage (AM)-depleted mice to demonstrate that lung macrophages play a protective role against allergen airway challenge, at least partially through a mechanism of control Th1/Th2 immune responses. In a series of adoptive transfers, we characterize the activity of lung macrophages in local Ag presentation that is Th1 oriented, IL-12 independent, and subjected to regulation by IFN-γ. When the APC ability of adoptively transferred lung macrophages is up-regulated by IFN-γ before allergen exposure, the allergen-induced T cell response shifts to a predominant Th1 phenotype and the allergic airway inflammation is completely suppressed.
Materials and Methods
Animals
Female BALB/c mice were purchased from Harlan Sprague-Dawley (Indianapolis, IN) and housed in a specific pathogen-free facility. All mice were 10–12 wk old at the time of the experiments. This study was approved by the animal ethics committee of McMaster University (Hamilton, Ontario, Canada).
Immunization and airway challenge
Mice received primary and booster immunization with i. p. injection of 10 μg soluble OVA, adsorbed to 2 mg of alum in 0.2 ml of saline on days 0 and 7. On day 15, airway challenge was performed with intranasal injection of 50 μl of a 1.5% solution of OVA in PBS or PBS alone. Allergic responses were measured 3 days after intranasal challenge.
Depletion of AM before intranasal challenge
The liposome-mediated macrophage depletion technique is based on the intracellular delivery of dichloromethylene-bisphosphonate (CL2MDP or clodronate was a generous gift of Boehringer Mannheim, Mannheim, Germany), which induces apoptosis in AM, having no effect on interstitial macrophages or DCs (27, 28, 29). CL2MDP liposomes (60 μl) were intranasally injected to Ag-sensitized mice 4 and 2 days prior to airway challenge after light i.p. anesthesia using a mixture of ketamine and xylazine (45 and 8 mg/kg, respectively). Optimal depletion of AM was achieved with this procedure, which was shown by BAL cell differential counting and immunohistochemistry staining of lung tissue with F4/80 (a specific marker for mature macrophages) mAb (Serotec, Raleigh, NC). The control mice were administered the equal volume of PBS liposome.
Measurement of airway responsiveness
Airway responsiveness to i.v. methacholine challenge was measured as previously described (30). Briefly, mice were anesthetized with i. p. injection of avertin (240 mg/kg; Aldrich Chemical, Milwaukee, WI), intubated with an 18-gauge tracheal cannula, and ventilated at a rate of 90 breaths/min with a tidal volume of air (0.1 ml/kg). Muscle paralysis was achieved by i.v. administration of pancuronium (0.03 mg/kg). After stabilization for a few minutes, incremental doses of methacholine (10–330 μg/kg) were given via i.v. injection. Ventilatory frequency was reduced to 27 breaths/min for the first 30 s after each methacholine delivery, as discussed previously (30). Total respiratory system resistance (RRS) was measured, and airway reactivity was expressed as the slope of the straight line regression between peak RRS and the log10 of the methacholine dose (30).
BAL fluid collection
BAL fluid was obtained by injecting and recovering of two 0.5-ml aliquots of PBS via a tracheal cannula. Cells in the lavage fluids were counted using a hemocytometer, and the differentials were determined by utilizing light microscopy to count 300 cells on cytospin preparations. The supernatants of BAL fluid were stored at −70°C for ELISA analyses.
Lung histology
The lungs were inflated by injecting into the tracheal a 1-ml solution of optimum cutter temperature compound (OCT; Somagen, Edmonton, Alberta, Canada) in PBS (1:1). Blocks of the tissue samples were embed in OCT, snap frozen in liquid nitrogen, and stored at −70°C until use. Sections (6-μm) were fixed in acetone before staining. Cyanide-resistant eosinophilic peroxidase activity, using potassium cyanide, 3, 3′-diaminobenzidine (Sigma, St. Louis, MO), and hydrogen peroxide, was applied in eosinophil staining (31). For detection of AM in the alveolar spaces, F4/80 Ab and biotinylated rabbit anti-rat IgG (Dako, Carpenteria, CA) were utilized, followed by the addition of avidin-biotin complex/HRP (Dako) and diaminobenzidine substrate. Positive cells from 10 airways/per mouse were enumerated in 1 μm of bronchial mucosa, and results were expressed as numbers of cells per millimeter of bronchial epithelium.
Lung APC preparations
Lung cells from OVA-sensitized mice were prepared as previously described, with slight modifications (14, 32, 33). Briefly, the lungs were perfused via the right ventricle with 5 ml of PBS containing 100 U heparin to remove blood and intravascular cells. Then the tissue was minced and incubated for 1 h at 37°C on a rocker in complete RPMI (cRPMI) 1640 that was supplemented with 10% FCS, l-glutamine (2 mM), 2-ME (50 μM), sodium pyruvate (1 μM), HEPES (10 mM), penicillin (100 U/ml), and streptomycin (100 μg/ml) (Sigma), containing collagenase A (0.7 mg/ml) and DNase (50 U/ml; Sigma). The enzyme-digested tissue was tapped through a wire screen to obtain single cells, and erythrocytes were lysed by treatment with NH4CL-Tris buffer. The cells were washed twice with PBS, overlaid on Lymphoprep (Nycomed Pharma AS, Oslo, Norway), and centrifuged at 1800 rpm for 20 min. Three APC preparations were used in experiments: 1) Lung cells, which referred to the enriched mononuclear cells recovered from the Lymphoprep interface after centrifuging and washed with PBS. 2) Lung macrophages, freshly isolated lung cells, were incubated at a concentration of 2 × 106 cells/ml in tissue culture dishes for 2 h at 37°C, 5% CO2, followed by extensive washing with prewarmed cRPMI to remove nonadherent cells. The adherent cells were continuously incubated for 2 h. After washing with warm medium again, macrophages were harvested from adherent cultures by incubating for 10 min with a cell dissociation solution (Sigma). This procedure yielded a purity of >85% macrophages confirmed by FACS analysis with F4/80 staining. 3) Macrophage-depleted lung cells: freshly isolated lung cells were resuspended in a solution of 11 mM d-glucose, 5.5 mM KCL, 137 mM NaCl, 25 mM Na2HPO4, and 5.5 mM Na2HPO4 × 2H2O (GKN), supplemented with 5% FCS. The cell suspension was then eluted through nylon wool to remove macrophages and washed by GKN supplemented with 5% BSA (13). Depletion of macrophages was confirmed by FACS analysis with a <15% of F4/80-positive cells in this preparation. Both lung cells and macrophage-depleted lung cells were irradiated at 2000 rad, and the three cell preparations were incubated overnight, with or without OVA (1 mg/ml) pulsing, in 50-ml polypropylene conical centrifuge tubes. In some cases, lung APC preparations were exposed to IFN-γ (5 ng/ml) 2 h before incubation with OVA.
Lung cell transfer
Prepared APCs were washed three times in protein-free PBS after overnight incubation. A total of 3 × 106 irradiated lung cells or 1.5 × 106 lung macrophages or 5 × 105 irradiated macrophage-depleted lung cells, in 0.05 ml PBS, was immediately transferred by intranasal injection into the lungs of the sensitized recipients, after a light i.p. anesthesia, as described above. Pulmonary immunologic and inflammatory responses were measured 3 days after transfer. To confirm the persistence of the transferred APCs in the lung for the duration of the protocol, the cells were labeled with 4,6-diamidino-2-phenylindole (DAPI; Sigma), as previously described (3). Two or three days after cell transfer, the recipient lungs were fixed in 10% Formalin, and 10-μm frozen sections were examined by fluorescence microscopy.
Flow cytometry
To determine the phenotype of lung APCs prepared as described above, 106 lung cells, macrophage-depleted lung cells, or lung macrophages were incubated after overnight culture for 30 min at 4°C with FITC-conjugated anti-F4/80, PE-conjugated anti-CD11c (Serotec)/CD19 (PharMingen, Mississauga, Ontario, Canada), and anti-DEC-205 (NLDC-145) with the secondary Ab PE-conjugated anti-rat IgG (Serotec), then washed with PBS containing 2% FCS. Expression of MHC class II and accessory molecules on these cell preparations, with and without exposure to IFN-γ (5 ng/ml), was also assessed by staining with FITC-conjugated anti-I-Abd/B7-1 and PE-conjugated anti-B7-2 (Serotec). Presently, no specific marker is available for DC, which were therefore identified by negative expression of F4/80/CD19 (a B cell Ag) combined with positive expression of CD11c (a marker highly expressed on DC, but also on macrophage) and DEC 205 (a marker highly expressed on DC) (34). A FACScan flow cytometer (Becton Dickinson, Mississauga, Ontario, Canada) and CellQuest software were used for analysis.
In vitro T cell responses to Ag-pulsed lung APCs
Spleen cells were prepared from Ag-sensitized mice, and T cells were purified using a T cell column (R&D Systems, Minneapolis, MN). Freshly isolated lung macrophages or macrophage-depleted lung cells were incubated in 50-ml polypropylene conical centrifuge tubes at 37°C, 5% CO2, with or without OVA pulsing (1 mg/ml) in the absence or presence of IFN-γ (5 ng/ml) overnight. After washing with prewarmed PBS, the cultured APCs (1 × 105 cells) were cocultured with T cells (1 × 105 cells) in triplicate in 96-well tissue culture plates for 96 h. For proliferation assay, methyl [3H]thymidine (Amersham, Arlington Heights, IL) was added to the 96-well plates (0.5 μCi/well) 18 h before harvesting. The harvested cells were analyzed in a Beckman liquid scintillation counter (Beckman Instruments, Fullerton, CA). Results were expressed as mean cpm for triplicate wells. Supernatants collected from the parallel cultures (48 h) were kept at −80°C for ELISA analysis.
Cytokine ELISA
IL-4, IL-5, IL-12p40, and IFN-γ levels in BAL fluid and cell culture supernatants were assayed by ELISA according to the procedure recommended by the manufacturer (PharMingen, San Diego, CA).
Statistical analysis
ANOVA and paired t test were applied to determine differences in various parameters (Statistica; Statsoft Com, Tulsa, OK). A p value <0.05 was considered significant.
Results
Depletion of AM markedly enhances airway allergic responses
To test the effects of AM on the development of airway allergic responses, CL2MDP liposome that specifically depleted AM in the lung (28, 29) was intranasally injected to OVA-sensitized mice 4 and 2 days prior to Ag or PBS challenge. This procedure caused a more than 85% reduction in the number of AM/ml of BAL compared with the control administration of PBS liposome (p < 0.01) (Fig. 1). AM depletion from CL2MDP liposome-treated lungs was further confirmed by the absence of F4/80+ cells in the alveolar spaces, as assessed by immunohistochemistry.
Depletion of AM before intranasal OVA challenge significantly enhances airway allergic responses in Ag-sensitized mice. CL2MDP liposome (Lip) was intranasally injected at days 2 and 4 prior to Ag or PBS challenge to deplete AM, which was controlled by the administration of PBS-Lip. Three days after intranasal challenge, allergic responses induced by various procedures were assessed via BAL cell differential counting (A), lung histology staining (B), and measuring methacholine airway responsiveness (AR) (C). The data represent the mean and SEM of 6–10 mice per group. Compared with PBS-challenged mice, ∗, p < 0.05; ∗∗, p < 0.01; and ∗∗∗, p < 0.001; and with Ag-challenged mice, #, p < 0.05; ##, p < 0.01.
Depletion of AM before intranasal OVA challenge significantly enhances airway allergic responses in Ag-sensitized mice. CL2MDP liposome (Lip) was intranasally injected at days 2 and 4 prior to Ag or PBS challenge to deplete AM, which was controlled by the administration of PBS-Lip. Three days after intranasal challenge, allergic responses induced by various procedures were assessed via BAL cell differential counting (A), lung histology staining (B), and measuring methacholine airway responsiveness (AR) (C). The data represent the mean and SEM of 6–10 mice per group. Compared with PBS-challenged mice, ∗, p < 0.05; ∗∗, p < 0.01; and ∗∗∗, p < 0.001; and with Ag-challenged mice, #, p < 0.05; ##, p < 0.01.
Depletion of AM markedly augmented pulmonary physiologic and inflammatory responses to inhaled Ag in OVA-sensitized mice, which was characterized by significantly increased numbers of BAL lymphocytes (p < 0.01), neutrophils (p < 0.01), and eosinophils (p < 0.01) (Fig. 1,A). Consistent with the allergic nature of the inflammation, the increase was most pronounced for eosinophils, with a 2-fold higher number/ml of BAL than that achieved by Ag challenge alone (Fig. 1,A). The number of eosinophils in the bronchial mucosa was also significantly increased in AM-deleted allergen-challenged mice compared with mice with the challenge alone (p < 0.05) (Figs. 1,B and 2). Furthermore, allergen-induced methacholine AHR was further enhanced in AM-depleted mice (p < 0.05) (Fig. 1 C).
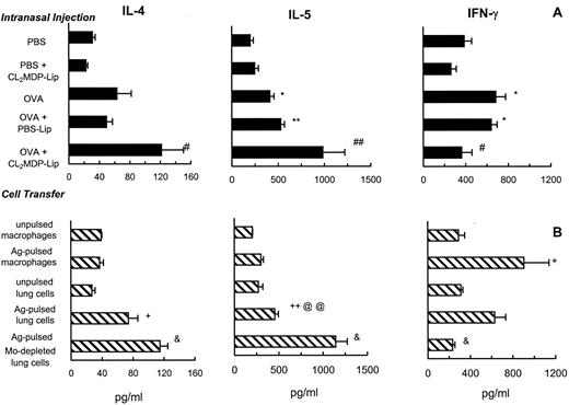
Th1/Th2 cytokine assay in the BAL indicated that the allergic responses exacerbated by AM depletion were related to alterations in the T cell-mediated immunity. Intranasal allergen challenge to Ag-sensitized mice provoked higher levels of the Th2-type cytokines IL-4 (p = 0.06), IL-5 (p < 0.05), and the Th1-type cytokine IFN-γ (p < 0.05) in BAL than those achieved by PBS challenge (Fig. 3,A). AM depletion further increased BAL levels of IL-4 (p < 0.05) and IL-5 (p < 0.01) in this model, but, by contrast, the levels of IFN-γ were reduced (p < 0.05). The BAL levels of the three cytokines were not altered by AM depletion in PBS-challenged mice (Fig. 3 A). Consistent with previous reports (12, 19), these results may reflect the Ag-specific Th1-stimulating activity of AM, which might be able to antagonize Th2-mediated allergic responses.
A, AM depletion before intranasal OVA challenge results in a significantly higher level of IL-4 and IL-5, with a lower concentration of IFN-γ in the BAL of Ag-sensitized mice. CL2MDP liposome (Lip) was intranasally injected at days 2 and 4 before allergen or PBS challenge to deplete AM. This procedure was controlled by the administration of PBS-Lip. Compared with PBS-challenged mice, ∗, p < 0.05; ∗∗, p < 0.01; and with Ag-challenged mice, #, p < 0.05; ##, p < 0.01. B, OVA-pulsed macrophage-depleted lung cells induce the highest level of IL-4 and IL-5, with the lowest concentration of IFN-γ in the BAL of Ag-sensitized recipient mice. Lung cells (3 × 106), macrophage-depleted lung cells (5 × 105) (both were irradiated at 2000 rad before use), and lung macrophages (1.5 × 106) were prepared as described in Materials and Methods, with and without OVA pulsing (1 mg/ml). Compared with the transfer of unpulsed cells, +, p < 0.05; ++, p < 0.01; with OVA-pulsed lung macrophages, @@, p < 0.01; and with OVA-pulsed lung cells, &, p < 0.05. BAL fluids were collected 3 days after intranasal challenge or cell transfer for cytokine ELISA analysis. Data represent the mean and SEM of 4–10 mice per group.
A, AM depletion before intranasal OVA challenge results in a significantly higher level of IL-4 and IL-5, with a lower concentration of IFN-γ in the BAL of Ag-sensitized mice. CL2MDP liposome (Lip) was intranasally injected at days 2 and 4 before allergen or PBS challenge to deplete AM. This procedure was controlled by the administration of PBS-Lip. Compared with PBS-challenged mice, ∗, p < 0.05; ∗∗, p < 0.01; and with Ag-challenged mice, #, p < 0.05; ##, p < 0.01. B, OVA-pulsed macrophage-depleted lung cells induce the highest level of IL-4 and IL-5, with the lowest concentration of IFN-γ in the BAL of Ag-sensitized recipient mice. Lung cells (3 × 106), macrophage-depleted lung cells (5 × 105) (both were irradiated at 2000 rad before use), and lung macrophages (1.5 × 106) were prepared as described in Materials and Methods, with and without OVA pulsing (1 mg/ml). Compared with the transfer of unpulsed cells, +, p < 0.05; ++, p < 0.01; with OVA-pulsed lung macrophages, @@, p < 0.01; and with OVA-pulsed lung cells, &, p < 0.05. BAL fluids were collected 3 days after intranasal challenge or cell transfer for cytokine ELISA analysis. Data represent the mean and SEM of 4–10 mice per group.
Phenotypic and functional features of lung APC preparations
To characterize the APC activity of lung macrophages, three lung APC preparations, with and without Ag pulsing, were intranasally transferred into the lungs of Ag-sensitized mice. They were 1) irradiated enriched lung mononuclear cells (lung cells), 2) irradiated macrophage-depleted lung cells, and 3) lung macrophages. Sixty-five percent of lung cells were positive for F4/80 (a marker for mature macrophages), and 65% also expressed CD11c (Fig. 4). After removal of macrophages from lung cells, 88% of the cell preparation was F4/80-negative cells, but 47% were still positive for CD11c, and 25% for CD19 (Fig. 4). Following enrichment for macrophages, the F4/80-positive cells accounted for 86% of the cell population. In addition, 50% of macrophage-depleted lung cells expressed DCE-205, whereas only 3% of DCE-205-positive cells were detected in lung macrophages. Both lung macrophages and macrophage-depleted lung cells significantly expressed MHC class II (I-Abd) and costimulatory (B7-1/B7-2) molecules, but the level of I-Abd expression was significantly higher on macrophage-depleted lung cells (Table I).
Expression of F4/80, CD11c, and CD19 on lung macrophages, macrophage-depleted lung cells, and lung cells after overnight nonstimulated culture. IgG1-FITC/IgG2a-PE-negative control cells located in the lower left quadrant (data not shown).
Expression of F4/80, CD11c, and CD19 on lung macrophages, macrophage-depleted lung cells, and lung cells after overnight nonstimulated culture. IgG1-FITC/IgG2a-PE-negative control cells located in the lower left quadrant (data not shown).
IFN-γ selectively enhances the expression of MHC class II (I-Abd) molecule on Ag-pulsed lung macrophages (%)a
| Ag-Pulsed APCs . | Treatment . | Cell Surface Molecules . | . | . | ||
|---|---|---|---|---|---|---|
| . | . | I-Abd . | B7-1 (CD80) . | B7-2 (CD86) . | ||
| Lung macrophages | Non | 29.3 ± 5.5 | 38.0 ± 8.2 | 26.3 ± 6.0 | ||
| IFN-γ | 44.3 ± 6.8* | 45.0 ± 4.4 | 31.3 ± 9.6 | |||
| Macrophage-depleted lung cells | Non | 52.6 ± 8.7** | 42.3 ± 14.0 | 33.3 ± 7.1 | ||
| IFN-γ | 48.3 ± 5.6* | 46.7 ± 7.4 | 32.0 ± 10.8 | |||
| Ag-Pulsed APCs . | Treatment . | Cell Surface Molecules . | . | . | ||
|---|---|---|---|---|---|---|
| . | . | I-Abd . | B7-1 (CD80) . | B7-2 (CD86) . | ||
| Lung macrophages | Non | 29.3 ± 5.5 | 38.0 ± 8.2 | 26.3 ± 6.0 | ||
| IFN-γ | 44.3 ± 6.8* | 45.0 ± 4.4 | 31.3 ± 9.6 | |||
| Macrophage-depleted lung cells | Non | 52.6 ± 8.7** | 42.3 ± 14.0 | 33.3 ± 7.1 | ||
| IFN-γ | 48.3 ± 5.6* | 46.7 ± 7.4 | 32.0 ± 10.8 | |||
Lung macrophages or macrophage-depleted lung cells were cultured with 1 mg/ml OVA overnight, with and without IFN-γ (5 ng/ml) stimulation. Cells (106) were stained by indicated molecules for FACS analysis. The data represent the mean and SD of three experiments. *, p < 0.05; ∗∗, p < 0.01 compared to untreated lung macrophages.
OVA-pulsed lung macrophages preferentially stimulate Th1 responses
Adoptive transfer of 1.5 × 106 OVA-pulsed lung macrophages or 3 × 106 OVA-pulsed lung cells intranasally resulted in these cells being deposited in the mice lungs (Fig. 5), and enhanced BAL cytokine levels in the recipient mice compared with the mice that received unpulsed lung macrophages or unpulsed lung cells (Fig. 3,B). OVA-pulsed lung macrophages selectively enhanced IFN-γ levels in the BAL of the recipient mice (p < 0.05), whereas the pulsed lung cells increased the concentrations of all three cytokines, but only IL-4 and IL-5 reached statistical significance (p < 0.05 and p < 0.01, respectively). Transfer of either of the unpulsed cell preparations did not increase BAL cytokine production compared with that induced by intranasal PBS injection (Fig. 3,A). The magnitude of the increases in the IL-4 and IL-5 production induced by transfer of OVA-pulsed lung cells was similar to that achieved by intranasal Ag challenge (Fig. 3, A and B). Consistent with our in vivo results, OVA-pulsed lung macrophages significantly increased IFN-γ production by spleen T cells from Ag-sensitized mice in vitro, whereas the IL-4 production was amplified by OVA-pulsed macrophage-depleted lung cells (Table II).
Localization of DAPI-labeled, irradiated, and OVA-pulsed lung cells examined by fluorescence microscopy 2 days after adoptive transfer to recipient mice. A, Transferred lung cells not cultured with DAPI. B, Transferred lung cells cultured with DAPI (×200 magnification).
Localization of DAPI-labeled, irradiated, and OVA-pulsed lung cells examined by fluorescence microscopy 2 days after adoptive transfer to recipient mice. A, Transferred lung cells not cultured with DAPI. B, Transferred lung cells cultured with DAPI (×200 magnification).
Splenic T cell cytokine production upon restimulation by Ag-pulsed lung APCs
| APC Types . | Stimulus . | IL-4 (pg/ml) . | IFN-γ (pg/ml) . | IFN-γ/IL-4 . |
|---|---|---|---|---|
| None (T cells alone) | None | 20.8 ± 5.3 | 106.0 ± 28.9 | 5.0 ± 0.3 |
| Lung macrophages | None | 15.0 ± 0 | 107.4 ± 9.4 | 6.3 ± 0.8 |
| Ag | 41.8 ± 15.2 | 451.0 ± 66.3* | 17.6 ± 10.3 | |
| IFN-γ+ Ag | 28.2 ± 11.2 | 553.6 ± 36.9** | 26.0 ± 8.1 | |
| Macrophage-depleted lung cells | None | 24.4 ± 9.0 | 97.0 ± 15.2 | 4.6 ± 1.0 |
| Ag | 111.6 ± 22.8** | 108.6 ± 23.2 | 2.0 ± 1.0 | |
| IFN-γ+ Ag | 124.6 ± 36.5** | 114.1 ± 20.5 | 1.4 ± 0.5 |
| APC Types . | Stimulus . | IL-4 (pg/ml) . | IFN-γ (pg/ml) . | IFN-γ/IL-4 . |
|---|---|---|---|---|
| None (T cells alone) | None | 20.8 ± 5.3 | 106.0 ± 28.9 | 5.0 ± 0.3 |
| Lung macrophages | None | 15.0 ± 0 | 107.4 ± 9.4 | 6.3 ± 0.8 |
| Ag | 41.8 ± 15.2 | 451.0 ± 66.3* | 17.6 ± 10.3 | |
| IFN-γ+ Ag | 28.2 ± 11.2 | 553.6 ± 36.9** | 26.0 ± 8.1 | |
| Macrophage-depleted lung cells | None | 24.4 ± 9.0 | 97.0 ± 15.2 | 4.6 ± 1.0 |
| Ag | 111.6 ± 22.8** | 108.6 ± 23.2 | 2.0 ± 1.0 | |
| IFN-γ+ Ag | 124.6 ± 36.5** | 114.1 ± 20.5 | 1.4 ± 0.5 |
Spleen T cells (105) from Ag-sensitized mice were cultured with or without 105 lung macrophages or macrophage-depleted lung cells in 200 μl cRPMI. Both of the lung APC preparations were pulsed with 1 mg/ml OVA before culture, exposed to 5 ng/ml IFN-γ prior to OVA pulsing, or left unstimulated. The culture supernatants were collected 48 h later for cytokine ELISA analysis. The data represent the mean and SD of four experiments. *, p < 0.05, ∗∗, p < 0.01 compared to unpulsed APC coculture.
The airway inflammation following the adoptive transfer was also characterized. When compared with their respective unpulsed cell preparation, OVA-pulsed lung cells significantly enhanced the number of BAL macrophages (p < 0.05), neutrophils (p < 0.05), and eosinophils (p < 0.01), whereas OVA-pulsed lung macrophages resulted in only a slight, not significant, increase in these cells (Fig. 6). The number of neutrophils and eosinophils after transfer of OVA-pulsed lung cells was 3.9-fold and 7.4-fold higher, respectively, than that seen with OVA-pulsed lung macrophages (p < 0.05 and p < 0.001). As expected, sensitized mice receiving either unpulsed lung macrophages or unpulsed lung cells showed similar BAL cell differential counts as mice with intranasal PBS injection (Fig. 1 A).
Pulmonary transfer of OVA-pulsed lung cells (3 × 106), lung macrophages (1.5 × 106), or pulsed macrophage-depleted lung cells (5 × 105) induces different inflammatory responses in the airways of Ag-sensitized recipient mice. Lung APCs were prepared and irradiated as described in Materials and Methods, with and without OVA pulsing (1 mg/ml). BAL fluids were collected 3 days after adoptive transfer for cell differential counts. Data represent the mean and SEM of four to six mice per group. Compared with transfer of unpulsed cells, +, p < 0.05; +++, p < 0.001; with OVA-pulsed lung macrophages, @, p < 0.05; @@@, p < 0.001; and with OVA-pulsed lung cells, &, p < 0.05; &&, p < 0.01.
Pulmonary transfer of OVA-pulsed lung cells (3 × 106), lung macrophages (1.5 × 106), or pulsed macrophage-depleted lung cells (5 × 105) induces different inflammatory responses in the airways of Ag-sensitized recipient mice. Lung APCs were prepared and irradiated as described in Materials and Methods, with and without OVA pulsing (1 mg/ml). BAL fluids were collected 3 days after adoptive transfer for cell differential counts. Data represent the mean and SEM of four to six mice per group. Compared with transfer of unpulsed cells, +, p < 0.05; +++, p < 0.001; with OVA-pulsed lung macrophages, @, p < 0.05; @@@, p < 0.001; and with OVA-pulsed lung cells, &, p < 0.05; &&, p < 0.01.
To further understand the role of lung macrophages as APC in this process, macrophages were removed from lung cells before Ag pulsing. Transfer of this cell preparation caused an even more pronounced increase in numbers of macrophages (p < 0.05), and eosinophils (p < 0.01) in the BAL of mice recipients (Fig. 6). This was associated with significantly higher levels of IL-4 and IL-5 (p < 0.05 for both), and significantly lower levels of IFN-γ (p < 0.05) in the same mice (Fig. 3 B).
Th1-promoting activity of lung macrophages is not related to IL-12p40 production
IL-12 has been reported to be a contributor to the Th1-promoting activity of macrophages (12, 19, 34). To evaluate this mechanism, endogenous IL-12p40 production was measured in the BAL of the recipient mice following transfer of three lung APC preparations. The recipient mice transferred with OVA-pulsed lung APC preparations, irrespective of their phenotypes, had significantly increased IL-12p40 levels in the BAL (p < 0.05 or 0.01), whereas IL-12p40 levels were just detectable in the BAL of the mice that received either unpulsed lung macrophages or unpulsed lung cells (Fig. 7). While OVA-pulsed macrophage-depleted lung cells induced the most severe Th2/inflammatory responses in the recipient airways, their BAL IL-12p40 concentrations were similar to those seen in the airways challenged by OVA-pulsed lung macrophages that had a predominant Th1 response and almost no inflammation. In addition, OVA-pulsed lung cells invoked the highest IL-12p40 production in the recipient airways, but this did not reduce the magnitude of the Th2 responses and allergic inflammation. Thus, Th1-promoting activity of lung macrophages occurred through Ag presentation appeared to be independent of IL-12p40 production.
IL-12p40 levels in the BAL of Ag-sensitized recipient mice following adoptive transfer of 3 × 106 lung cells, 1.5 × 106 lung macrophages, or 5 × 105 macrophage-depleted lung cells, with and without OVA pulsing. Lung APCs were prepared and irradiated as described in Materials and Methods. BAL fluids were collected 3 days after cell transfer for cytokine ELISA analysis. Data represent the mean and SEM of four to six mice per group. Compared with transfer of unpulsed cells, +, p < 0.05; ++, p < 0.01; with OVA-pulsed lung macrophages, @, p < 0.05; with OVA-pulsed lung cells, &, p < 0.05.
IL-12p40 levels in the BAL of Ag-sensitized recipient mice following adoptive transfer of 3 × 106 lung cells, 1.5 × 106 lung macrophages, or 5 × 105 macrophage-depleted lung cells, with and without OVA pulsing. Lung APCs were prepared and irradiated as described in Materials and Methods. BAL fluids were collected 3 days after cell transfer for cytokine ELISA analysis. Data represent the mean and SEM of four to six mice per group. Compared with transfer of unpulsed cells, +, p < 0.05; ++, p < 0.01; with OVA-pulsed lung macrophages, @, p < 0.05; with OVA-pulsed lung cells, &, p < 0.05.
IFN-γ selectively up-regulates the APC activity of lung macrophages in vitro
IFN-γ is a crucial mediator in the induction of Th1-type responses and capable of selectively up-regulating the APC activity in monocytes/macrophages (12, 17, 18). Such effect of IFN-γ on lung macrophages was tested in vitro and compared with the effect on macrophage-depleted lung cells. Upon exposure to IFN-γ before OVA pulsing, MHC class II (I-Abd) expression was significantly increased in lung macrophages, but not macrophage-depleted lung cells (p < 0.05) (Fig. 8). In coculture with spleen T cells obtained from Ag-sensitized mice, IFN-γ-treated OVA-pulsed lung macrophages enhanced the T cell proliferation and IFN-γ but not IL-4 production (Tables II and III) compared with the same untreated cells. In contrast, the T cell-stimulating ability of OVA-pulsed macrophage-depleted lung cells was not significantly altered by IFN-γ.
OVA-pulsed lung macrophages, but not the pulsed macrophage-depleted lung cells, have a significant increase in I-Abd expression after overnight culture with IFN-γ (5 ng/ml). Thin-line histograms represent OVA-pulsed cells stained with FITC-labeled anti-I-Abd Ab; thick-line histograms represent IFN-γ-treated OVA-pulsed cells with the same staining. Dotted-line histograms represent the cells stained with isotype IgM.
OVA-pulsed lung macrophages, but not the pulsed macrophage-depleted lung cells, have a significant increase in I-Abd expression after overnight culture with IFN-γ (5 ng/ml). Thin-line histograms represent OVA-pulsed cells stained with FITC-labeled anti-I-Abd Ab; thick-line histograms represent IFN-γ-treated OVA-pulsed cells with the same staining. Dotted-line histograms represent the cells stained with isotype IgM.
IFN-γ selectively enhances the ability of Ag-pulsed lung macrophages to stimulate splenic T cell proliferation (cpm)a
| APC Types . | Stimulus . | . | . | ||
|---|---|---|---|---|---|
| . | None . | Ag . | IFN-γ + Ag . | ||
| None (T cells alone) | 816.6 ± 249.5 | ||||
| Lung macrophages | 985.6 ± 158.5 | 2383.3 ± 564.2* | 5102.9 ± 835.0**† | ||
| Macrophage-depleted lung cells | 1127.8 ± 195.5 | 5059.9 ± 1692.5* | 4609.0 ± 1529.6* | ||
| APC Types . | Stimulus . | . | . | ||
|---|---|---|---|---|---|
| . | None . | Ag . | IFN-γ + Ag . | ||
| None (T cells alone) | 816.6 ± 249.5 | ||||
| Lung macrophages | 985.6 ± 158.5 | 2383.3 ± 564.2* | 5102.9 ± 835.0**† | ||
| Macrophage-depleted lung cells | 1127.8 ± 195.5 | 5059.9 ± 1692.5* | 4609.0 ± 1529.6* | ||
Spleen T cells (105) were cultured with or without 105 lung macrophages or macrophage-depleted lung cells in 200 μl cRPMI. Both of the lung APC preparations were pulsed with 1 mg/ml OVA before culture, exposed to 5 ng/ml IFN-γ prior to OVA pulsing, or left unstimulated. After 3 days, [3H]thymidine incorporation was measured. The data represent the mean and SD of four experiments. *, p < 0.05; ∗∗, p < 0.01 compared to unpulsed APC coculture; †, p < 0.01 to Ag-pulsed APC coculture within the group.
IFN-γ-treated lung macrophages prevent allergen-induced eosinophilic inflammation in vivo
The in vivo effect of IFN-γ on the APC activity of lung macrophages was evaluated via transferring lung cells and macrophage-depleted lung cells, both being treated by IFN-γ before Ag pulsing, to Ag-sensitized mice. IFN-γ pretreatment in OVA-pulsed lung cells inhibited the transfer-induced recruitment of eosinophils into the recipient lungs by 98% (p < 0.001), macrophages by 60% (p < 0.01), lymphocytes by 83% (p < 0.05), and neutrophils by 94% (p < 0.05). In contrast, this effect was not seen in OVA-pulsed macrophage-depleted lung cells with IFN-γ treatment, in which the degree of the inflammatory responses after the transfer was similar to that invoked by transfer of the same untreated cells (Fig. 9,A). The parallel changes following transfer of IFN-γ-treated OVA-pulsed lung cells were a decrease in the BAL levels of IL-4 and IL-5 in the mice recipients, which approached, but did not reach, statistical significance, and a significant increase in the concentrations of IFN-γ (p < 0.05). In addition, the BAL cytokine levels in the mice recipients were comparable after transfer of OVA-pulsed macrophage-depleted lung cells with and without IFN-γ pretreatment (Fig. 9 B).
IFN-γ pretreatment in OVA-pulsed lung cells (3 × 106), but not in OVA-pulsed macrophage-depleted lung cells (5 × 105), prevents the Ag-induced Th2/inflammatory responses in the airways of Ag-sensitized recipient mice. The two-cell preparations were isolated, irradiated, and pulsed with OVA (1 mg/ml), as described in Materials and Methods, and exposed to IFN-γ (5 ng/ml) 2 h before OVA pulsing. BAL fluids were collected 3 days after adoptive transfer for cell differential counts (A) and cytokine ELISA analysis (B). Data represent the mean and SEM of four to six mice per group. Compared with untreated OVA-pulsed lung cells, &, p < 0.05; &&, p < 0.01.
IFN-γ pretreatment in OVA-pulsed lung cells (3 × 106), but not in OVA-pulsed macrophage-depleted lung cells (5 × 105), prevents the Ag-induced Th2/inflammatory responses in the airways of Ag-sensitized recipient mice. The two-cell preparations were isolated, irradiated, and pulsed with OVA (1 mg/ml), as described in Materials and Methods, and exposed to IFN-γ (5 ng/ml) 2 h before OVA pulsing. BAL fluids were collected 3 days after adoptive transfer for cell differential counts (A) and cytokine ELISA analysis (B). Data represent the mean and SEM of four to six mice per group. Compared with untreated OVA-pulsed lung cells, &, p < 0.05; &&, p < 0.01.
Discussion
The hypothesis being tested in this study is that, as macrophages in other organ systems are capable of functioning as Th1-promoting APC, and suppressing the development of Th2-type cells in both the primary and secondary immunity (12, 17, 19, 34), they may have the same functional activity, upon allergen exposure in the lung. We initially tested this assumption by depleting AM from Ag-sensitized mice before Ag challenge, and found that AM depletion resulted in more pronounced eosinophilic inflammation and greater methacholine AHR than achieved by allergen challenge in sensitized, but non-AM-depleted, mice. In addition, lung T cells from AM-depleted mice defaulted to a phenotype that produced more IL-4 and IL-5 and less IFN-γ after OVA challenge. These observations suggest that AM exerted a protective effect against allergy in the lung partially through a Th1-stimulating mechanism.
We next attempted to evaluate whether lung macrophages are able to selectively trigger a Th1 response at the bronchial mucosal sites through processing and presentation of Ag to the T cells. This was done by instilling into the lungs of OVA-sensitized mice, OVA-pulsed lung macrophages, or OVA-pulsed lung cells with and without macrophage depletion. OVA-pulsed lung macrophages significantly increased IFN-γ production in the airways of the recipient mice, whereas OVA-pulsed lung cells, consisting of DCs, B cells, and macrophages, significantly enhanced the production not only of IFN-γ, but also of IL-4 and IL-5. However, when macrophages were removed from lung cells before OVA pulsing, a more biased Th2 immunity, as indicated by further increased production of IL-4 and IL-5, was observed in the recipient lungs after the transfer, which was coupled with a significant decrease in the IFN-γ production. These results clearly indicate that like spleen macrophages (12, 19, 34), lung macrophages are capable of converting to Th1-oriented APC upon exposure to allergen, and that the participation of these cells in Ag presentation inhibits, to some degree, the development of Th2 immune responses in the bronchial mucosa.
Activation of CD4+ T cells through TCR ligation requires interaction with cells that present the antigenic peptide in association with MHC molecules and that additionally express the necessary costimulatory ligands. Thus, the APC ability of lung macrophages to activate the Th1 immune response in our model system would be related to the cells’ capacity to express both MHC class II and costimulatory molecules. Based on our phenotyping data, F4/80+ lung macrophages significantly expressed MHC class II (I-Abd) and also CD80/CD86 after overnight culture. I-Abd expression on lung macrophages was lower compared with macrophage-depleted lung cells, which mainly contained F4/80− CD11c+ (DC) and F4/80− CD19+ (B cell) cells. However, CD80 and CD86 expression were comparable between the two lung APC preparations. These data further confirmed the T cell-activating properties of lung macrophages. The difference in the expression of I-Abd between the two lung APC preparations might reflect the different APC potency between lung DCs and lung macrophages. Indeed, DCs have been shown to be superior to other APC types at stimulating T cell proliferation (33, 35).
Our results are consistent with previous studies, which have characterized the ability of DCs on mucosal surfaces, such as the murine lung and gut, to stimulate Th2 responses (1, 14). By contrast, the APC activity of macrophages in other organ systems, in which the cells served as the exclusive APC, has been specialized for promoting the Th1 development (12, 19, 34). However, the role of macrophages, in an immune process involving other APC populations, remains unclear. In this study, we evaluated the relative importance of macrophage Th1-promoting activity in Ag-challenged murine airways, in which DCs are known to be critically important in Ag presentation (1, 14). We monitored the inflammatory process following transfer of three OVA-pulsed lung APC preparations. Transfer of OVA-pulsed lung macrophages alone resulted in negligible increases in the number of BAL inflammatory cells. In contrast, transfer of OVA-pulsed lung cells elicited airway eosinophilia in the mice recipients, whereas the most severe and extensive airway inflammation was induced via transfer of OVA-pulsed macrophage-depleted lung cells. These results suggest that competition for Ag presentation between lung macrophages and DCs, in the secondary immune response, influences the magnitude of the allergic inflammatory responses. However, the activity of macrophages in this regard is insufficient to completely prevent allergen-induced Th2 cell-mediated responses.
Another question posed in this study was whether the APC potency of lung macrophages could be enhanced before adoptive transfer to a sufficient level to prevent the development of the Th2-mediated allergic responses in the mice recipients. It has previously been reported that the functional activity of APCs is subjected to regulation by cytokine signals and that Th1-priming capacity of macrophages can be markedly up-regulated by treatment with IFN-γ (12, 14, 17, 18, 36). We therefore treated lung cells, with and without macrophage depletion, with IFN-γ before Ag pulsing and transferred these two-cell preparations to the lungs of Ag-sensitized mice. Notably, the effect of IFN-γ pretreatment depended on the presence of lung macrophages. The inflammatory responses in the recipient airways caused by transfer of OVA-pulsed lung cells were suppressed when macrophages were present and treated by IFN-γ. In striking contrast, when macrophages were removed, IFN-γ treatment of the cell preparation before transfer failed to show any beneficial effects on the subsequent inflammatory events. In vitro, IFN-γ pretreatment significantly elevated the expression of MHC class II molecule on OVA-pulsed lung macrophages, but not pulsed macrophage-depleted lung cells, with increased T cell proliferation and increased production of IFN-γ rather than IL-4 in the T cell/macrophage cocultures. These suggest that the type of T cell immune responses in the airways of the mice recipients shifted toward a Th1 dominance following transfer of IFN-γ-treated macrophage-containing lung cells with Ag pulsing, but remained Th2 polarized when macrophages were depleted before exposing the lung cell preparation to IFN-γ. The mechanism underlying this effect has not yet been investigated, but appears to be related to an inherent property of macrophages. It has been shown that the APC ability of DCs is selectively modified by GM-CSF (14, 36); therefore, the different obligatory signals for the functional activity of DCs and macrophages may also reflect the different effector properties of these two APC types.
The Th1-promoting property of macrophages has been attributed to the cell production of IL-12, a cytokine highly effective in inhibiting IL-4 and stimulating IFN-γ synthesis in both unprimed as well as resting memory T cells (19, 21, 37, 38, 39). However, in this study, transfer of both lung macrophages and macrophage-depleted DC-containing lung cell preparation significantly induced IL-12p40 production in an allergen-dependent manner in the airways of the mice recipients. Although this finding is in accordance with previous reports on constitutive IL-12 secretion by DCs (22, 40, 41), the dissociation between the APC-stimulated T cell phenotypes and their IL-12p40 production in the mice lungs after adoptive transfer was still surprising. We interpret these results in four possible ways: first, with comparable IL-12p40 production, there may be a difference in the synthesis and release of IL-12p70, assembled by a 35-kDa subunit (p35) and a 40-kDa subunit (p40) within the same cell (42), by the two transferred APC preparations. Second, the T cell may be triggered directly by the OVA peptide-MHC complex in macrophage (43). Third, IL-18 or an unknown cytokine aside from IL-12 may induce the cells to produce IFN-γ (44). And last, a potential lack in the production of IL-10, a cytokine necessary for Th2 proliferation, by the murine lung macrophages (45) may further amplify the inclination of Th1 development.
Although we show that lung macrophages are capable of MHC class II-dependent Ag presentation, they have been previously viewed as an immunosuppressor, inhibiting T cell proliferation via producing NO and PGE2 (46, 47). Such paradoxical activities have also been addressed on macrophages from other organ systems (15, 16, 17, 43, 48), reflecting the heterogeneity in these cells. It has been suggested that suppressor activity is restricted to specific macrophage phenotype, with other phenotypes supporting normal T cell activation (49). Macrophages that differentiate in vitro under the influence of IFN-γ acquire the ability to stimulate Th1 phenotype development (12), but conversely become immunosuppressive APCs under the influence of M-CSF (49). This functional conversion in activated macrophages has also been found in vivo through the course of Mycobacterium tuberculosis infection from the acute phase to the chronic stage (50). Our results are likely to reflect the immunostimulatory activity of lung macrophages upon acute allergen and IFN-γ exposure, which might switch toward immunosuppression after chronic and repeated allergen exposure (47). These characteristics point to a possibility that the protective Th1-promoting effect of lung macrophages could be subsequently reinforced by their suppressive effects on T cell responses in an allergic inflammatory process. The latter property of lung macrophages may play an important role in down-regulating the chronic pulmonary lymphoproliferative responses.
In summary, this study demonstrates, for the first time, the ability of lung macrophages to attenuate allergic inflammation and AHR in a murine model of allergic asthma, by mounting Th1 responses in the bronchial mucosa that antagonized Th2 responses to inhaled allergen. Increasing our understanding of macrophage regulation may allow us to increase their activity in Ag presentation, thereby preventing the development of secondary allergic responses.
Histological features of lungs of Ag-sensitized mice with various intranasal injections. Cryosections of lung tissues from sensitized mice with PBS challenge (A), OVA challenge (B), OVA challenge plus PBS liposome (C), and OVA challenge plus CL2MDP liposome administration (D) were stained to detect cyanide-resistant eosinophilic peroxidase activity. CL2MDP liposome treatment markedly increased the number of lung eosinophils after OVA challenge (×200 magnification).
Histological features of lungs of Ag-sensitized mice with various intranasal injections. Cryosections of lung tissues from sensitized mice with PBS challenge (A), OVA challenge (B), OVA challenge plus PBS liposome (C), and OVA challenge plus CL2MDP liposome administration (D) were stained to detect cyanide-resistant eosinophilic peroxidase activity. CL2MDP liposome treatment markedly increased the number of lung eosinophils after OVA challenge (×200 magnification).
Acknowledgements
We thank Jennifer Wattie for her excellent technical aid in the measurement of airway responsiveness, and Russ Ellis for his expert histology assistance.
Footnotes
Supported by an operating grant from the Medical Research Council of Canada. P.M.O. is a Medical Research Council Senior Scientist.
Abbreviations used in this paper: AHR, airway hyperresponsiveness; AM, alveolar macrophage; BAL, bronchoalveolar lavage; CL2MDP, dichloromethylene-bisphosphonate; DAPI, 4,6-diamidino-2-phenylindole; DC, dendritic cell; cRPMI, complete RPMI.








