Abstract
Studies performed in vitro suggest that activation of Toll-like receptors (TLRs) by parasite-derived molecules may initiate inflammatory responses and host innate defense mechanisms against Trypanosoma cruzi. Here, we evaluated the impact of TLR2 and myeloid differentiation factor 88 (MyD88) deficiencies in host resistance to infection with T. cruzi. Our results show that macrophages derived from TLR2 −/− and MyD88−/− mice are less responsive to GPI-mucin derived from T. cruzi trypomastigotes and parasites. In contrast, the same cells from TLR2−/− still produce TNF-α, IL-12, and reactive nitrogen intermediates (RNI) upon exposure to live T. cruzi trypomastigotes. Consistently, we show that TLR2−/− mice mount a robust proinflammatory cytokine response as well as RNI production during the acute phase of infection with T. cruzi parasites. Further, deletion of the functional TLR2 gene had no major impact on parasitemia nor on mortality. In contrast, the MyD88−/− mice had a diminished cytokine response and RNI production upon acute infection with T. cruzi. More importantly, we show that MyD88−/− mice are more susceptible to infection with T. cruzi as indicated by the higher parasitemia and accelerated mortality, as compared with the wild-type mice. Together, our results indicate that T. cruzi parasites elicit an alternative inflammatory pathway independent of TLR2. This pathway is partially dependent on MyD88 and necessary for mounting optimal inflammatory and RNI responses that control T. cruzi replication during the early stages of infection.
Toll-like receptors (TLRs)3 (1) have been identified as ancient receptors that confer specificity to the host innate immune system allowing the recognition of pathogen associated molecular patterns (1, 2), including LPS from Gram-negative bacteria (3), lipoteichoic acid, and peptidoglycan from Gram-positive bacteria (4) and bacterial lipopeptides (4, 5, 6). Cells of the macrophage lineage exposed to these microbial components synthesize high levels of proinflammatory cytokines, such as IL-12 and TNF-α, that are responsible for initiation of IFN-γ synthesis (7), and triggering various effector mechanisms, including the synthesis of reactive oxygen intermediates and reactive nitrogen intermediates (RNI) (8), which are initial barriers against microbial infections, before the establishment of adaptive immunity.
There is growing evidence indicating that a variety of parasites are able to trigger TLRs through myeloid differentiation factor 88 (MyD88) dependent pathways with important consequences for the host: parasite interaction (9, 10, 11, 12, 13, 14). During infection with Trypanosoma cruzi, the causative agent of Chagas’ disease, there are at least two scenarios, where activation of TLRs and MyD88 function could be important determinants in the host:parasite relationship and disease outcome. First would be the activation of innate mechanisms of defense to control of parasite replication during the early stages of infection, before the establishment of an efficient parasite specific acquired immunity. Secondly, stimulation of TLRs via a MyD88 dependent pathway by parasite molecules may contribute to pathogenesis of Chagas’ disease through the stimulation of proinflammatory cytokines and chemokines, which lead to systemic alterations including the development of myocarditis often observed during infection with T. cruzi parasites (15, 16).
Our recent studies indicate that T. cruzi derived GPI anchors and GIPLs preferentially activate TLR2, which is largely responsible for the activation of the various macrophage functions induced by the GPI-anchored mucin-like glycoproteins derived from T. cruzi trypomastigotes (tGPI-mucin) (17, 18). More importantly, the GPI anchors purified from tGPI-mucins, which contain a longer glycan core and unsaturated fatty acids in the sn-2 position of the alkylacylglycerolipid component, triggered TLR2 at subnanomolar concentrations (19, 20, 21, 22). Among the activities triggered in macrophages exposed to tGPI-mucins are the syntheses of IL-12, TNF-α, and RNI, as well as the production of chemokines and the consequent recruitment of leukocytes (19, 20, 21, 22, 23, 24). Studies performed elsewhere indicate that another T. cruzi derived molecule is also able to activate TLR2 and stimulate the synthesis of proinflammatory cytokines as well as chemokines by macrophages and dendritic cells (DCs)(25). Furthermore, T. cruzi genomic DNA apparently is rich in unmethylated CpG motifs and stimulates macrophages, DCs and B lymphocytes, potentially through TLR-9 (26, 27). Other parasite molecules, such as transialidase, have also been shown to stimulate the synthesis of proinflammatory cytokines by macrophages by a yet undefined receptor (28).
In the current study we evaluated the importance of TLR2 as well as MyD88, an adaptor molecule necessary for the function of TLR/IL-1/IL-18 receptors, on induction of the synthesis of proinflammatory cytokines, such as IL-12, TNF-α, and IFN-γ as well as the RNI. We also evaluated the role of TLR2 and MyD88 in host resistance to infection with T. cruzi. Our results indicate that during infection with T. cruzi, TLR2 deficiency appears to be overcome by the activation of other TLR(s) and/or receptors that use the MyD88 adaptor. Consistently, MyD88 appears to be an important element for the early burst of proinflammatory cytokine and RNI as well as host resistance to acute infection with T. cruzi parasites.
Materials and Methods
Mice
TLR2−/− (29) and MyD88−/− (30) mice were generated at Osaka University (Osaka, Japan) and backcrossed with C57BL/6 for eight generations. The IFN-γ−/− mice in the C57BL/6 background were obtained from The Jackson Laboratory (Bar Harbor, ME). The knockout mice were transferred to the Federal University of Minas Gerais, Institute of Biological Sciences (Belo Horizonte, Minas Gerais, Brazil), and raised in a pathogen-free barrier environment. C57BL/6 mice used as wild type (WT) control were obtained from a colony maintained at the Centro de Pesquisas René Rachou, Oswaldo Cruz Foundation (Belo Horizonte, Minas Gerais, Brazil). In infections with T. cruzi, we used 8-wk-old male mice that were then kept in microisolators. The mouse colonies and all the experimental procedures were performed according to the institutional animal care and use guidelines from Centro de Pesquisas René Rachou, Oswaldo Cruz Foundation.
Tissue culture of T. cruzi trypomastigotes
The trypomastigote forms from the Y strain of T. cruzi were grown, purified by differential centrifugation from a monkey fibroblast cell line (LLC-MK2), and used to stimulate macrophages as well as a source for purification of tGPI-mucin.
Purification of T. cruzi-derived tGPI-mucin
The tGPI-mucin was isolated from tissue culture trypomastigotes (22), using sequential organic extraction followed by hydrophobic-interaction chromatography in octyl-Sepharose column (Amersham Pharmacia Biotech, Little Chalfont, U.K.) and elution with a propan-1-ol gradient (5–60%). The tGPI-mucins were purified using LPS-free reagents and its purity confirmed by the inability of these preparations to stimulate cytokine production in macrophages from TLR2−/− mice or activate CHO cells expressing CD14 and endogenous TLR4.
Murine macrophage preparation
Thioglycollate-elicited peritoneal macrophages were obtained from either C57BL/6, TLR2−/−, or MyD88−/− mice by peritoneal washing. Adherent peritoneal macrophages were cultured in 96-well plates (2 × 105 cells/well) at 37°C/5% CO2 in DMEM (Life Technologies, Carlsbad, CA) supplemented with 10% heat-inactivated FCS (Life Technologies), 2 mM l-glutamine, and 40 μg/ml of gentamicin. Cells were then stimulated with tGPI-mucin or live trypomastigotes for 24 or 48 h to evaluate TNF-α or IL-12 and RNI production, respectively.
Cell lysate preparation
Peritoneal macrophages were cultured and stimulated with either LPS (50 ng/ml) and/or tGPI-mucin (2 nM) or live trypomastigotes (1:1 parasite:macrophage ratio) for 24 h. At indicated time, cells were washed with PBS and lysed on ice in lysis buffer (20 mM Tris-acetate, pH 7.0, 0.27 M sucrose, 1 mM EDTA, 1 mM EGTA, 1% Triton X-100, 10 mM sodium glycerophosphate, 50 mM NaF, 5 mM sodium pyrophosphate, 4 μg/ml leupeptin, 1 mM sodium orthovanadate, 1 mM benzamidine, 0.1% v/v 2-ME). Lysates were scraped, collected into Eppendorf tubes, and centrifuged at 13,000 × g for 20 min at 4°C (31).
Immunoblotting
Cell lysates were separated on a 10% SDS-PAGE and transferred to nitrocellulose membranes (Amersham Pharmacia Biotech). Membranes were blocked overnight at 4°C with PBS containing 5% (w/v) low fat milk and 0.1% Tween 20. Membranes were washed three times with PBS containing 0.1% Tween 20, then incubated with rabbit polyclonal Ab anti-phosphorylated p38/SAPK-2, with Ab anti-phosphorylated ERK 1/2, with Ab anti-unphosphorylated p38/SAPK-2 or with Ab anti-unphosphorylated ERK1/2 in PBS containing 5% (w/v) BSA and 0.1% Tween 20. Abs against the MAPK family member p38/SAPK-2 and ERK 1/2 were obtained from New England Biolabs (Hertfordshire, U.K.). After washing, the membranes were incubated with HRP-conjugated anti-rabbit Ab and assayed by the ECL chemiluminescent system (Amersham Pharmacia Biotech) according to the manufacturer’s instructions.
Experimental infection with T. cruzi
Cytokines produced by infected mice
Murine spleen cells from infected and noninfected C57BL/6, TLR2−/−, and MyD88−/− mice were obtained on day 10 after infection, as previously described (33), and cultured at 5 × 106 cells/ml per well, in 24-well plates, with RPMI 1640 supplemented with 10% FCS, 2 mM l-glutamine, 0.05 mM 2-ME, 100 U/ml penicillin, and 100 μg/ml streptomycin. The culture supernatants were harvested at 37°C and the levels of TNF-α or IL-12, IFN-γ, and RNI were measured after 48 or 72 h, respectively. Mice were bled on day 0 and 10 after infection and the level of serum cytokine was evaluated.
Cytokine measurement
Cytokines were evaluated in supernatants of inflammatory macrophages after stimulation with different agonists, as indicated, or in supernatants of spleen cells or sera from infected mice, at indicated time. TNF-α and IL-12 were quantified by ELISA using the Duoset kit from R&D Systems (Minneapolis, MN). IFN-γ was assayed in a two-site ELISA using a rat anti-IFN-γ mAb R46A2 (American Type Culture Collection, Manassas, VA) and a polyclonal rabbit serum specific for the cytokine. IFN-γ levels were calculated by reference to a standard curve constructed with recombinant cytokine (Genzyme, Cambridge, MA). The sensitivity of this method was 100 pg/ml.
Griess reaction for RNI quantification
Griess reaction was performed to quantify nitrite concentrations in the supernatant of macrophage or spleen cultures. Fifty microliters of samples plus 50 μl of Griess reagents were incubated per 10 min in r.t., followed by detection at 550 nm in an automated ELISA plate reader. The results are expressed in micromolar, and were determined comparing the absorbance readings of the experimental samples to a sodium nitrate standard curve (34).
Densitometric analysis
The quantitation of phosphorylated ERK-1/2 and p38 was performed with the use of a densitometer and normalized to the levels of total ERK-1/2 and p38 in the same sample. The changes in protein phosphorylation were estimated over the control sample (medium). The results were expressed in terms of percent reduction of MAPKs phosphorylation when comparing results obtained from TLR2−/− and MyD88−/− as compared with macrophages from WT mice stimulated with either tGPI-mucin or live parasites.
Statistical analysis
The arithmetic results are express as means ± SD for indicated number of animals or experiments. ANOVA, Student’s t test or Kruskal-Wallis were used to analyze the statistical significance of cytokine production and parasitemia or survival curves, respectively. Differences were considered statistically significant when p < 0.05.
Results
Production of proinflammatory cytokines and RNI by macrophages derived from TLR2−/− mice exposed to live T. cruzi trypomastigotes
Our previous studies suggest that tGPI-mucin have a potent proinflammatory activity and elicit the synthesis of various cytokines as well as RNI by macrophages (20, 21, 22). We have previously shown that p38/SAPK-2 and ERK1/2 are an important signaling element for TNF-α production by inflammatory macrophages elicited with tGPI-mucin (18) and that GPI anchors and GIPLs preferentially activate TLR2 (17). The densitometry of the results presented in Fig. 1 show that after stimulation with tGPI-mucin, ERK1/2 from macrophages derived from TLR2−/− or MyD88−/− mice are in average, respectively, 52% or 96% less phosphorylated than macrophages from WT mice (30 min). In the case of p38, we observed a reduction of 76% (30 min) and 95% (60 min) of phosphorylation when comparing macrophages from TLR2−/− or 95% (30 min) and 97% (60 min) from MyD88−/− mice to macrophages from WT mice stimulated with tGPI-mucin. Additionally, in Fig. 2 is shown that when macrophages derived from TLR2−/− and MyD88−/− are exposed to live trypomastigotes, we still observed low but significant levels of phosphorylation of MAPKs (i.e., ERK1/2 and p38/SAPK-2). When compared with the WT mice, the levels of ERK1/2 phosphorylation were reduced by 90% (30 min), 60% (60 min), and 60% (90 min) in the macrophages from TLR2−/− and by 60% (30 min), 70% (60 min), and 99% (90 min) in the macrophages from MyD88−/− infected with T. cruzi. Similarly, we observed reduction of p38 phosphorylation of 60% (30 min), 50% (60 min), and 50% (90 min) in the macrophages from TLR2−/− that was less pronounced than 99% (30 min), 50% (60 min), and 97% (90 min) in the macrophages from MyD88−/− infected with T. cruzi. Together, these results suggest that macrophage activation by tGPI-mucin and parasites may use more than one TLR.
Macrophages derived from TLR2−/− or from MyD88−/− are hyporesponsive to tGPI-mucin. Inflammatory macrophages derived from C57BL/6 (WT), TLR2−/− or MyD88−/−, as indicated, were exposed to medium, LPS or to tGPI-mucin and phosphorylation of ERK1/2 (pERK-1 or pERK-2, top panel), or of p38/SAPK-2 (p-p38, bottom panel) were evaluated at 30 and 60 min later. The unphosphorylated proteins (ERK-1, ERK-2, and p38) were also blotted as loading control. The results shown are one representative of three different experiments that yielded similar results.
Macrophages derived from TLR2−/− or from MyD88−/− are hyporesponsive to tGPI-mucin. Inflammatory macrophages derived from C57BL/6 (WT), TLR2−/− or MyD88−/−, as indicated, were exposed to medium, LPS or to tGPI-mucin and phosphorylation of ERK1/2 (pERK-1 or pERK-2, top panel), or of p38/SAPK-2 (p-p38, bottom panel) were evaluated at 30 and 60 min later. The unphosphorylated proteins (ERK-1, ERK-2, and p38) were also blotted as loading control. The results shown are one representative of three different experiments that yielded similar results.
Phosphorylation of MAPKs in macrophages derived from WT, TLR2−/−, or MyD88−/− exposed to live trypomastigotes. Peritoneal macrophages derived from WT, TLR2−/−, or MyD88−/−, as indicated, were exposed to medium, LPS, or to four parasites/cell ratio and phosphorylation of ERK1/2 (pERK-1 or pERK-2, top panel), or of p38/SAPK-2 (p-p38, bottom panel) were evaluated at indicated times. The unphosphorylated proteins (ERK-1, ERK-2, and p38) were also blotted as loading control. The results shown are one representative of three different experiments that yielded similar results.
Phosphorylation of MAPKs in macrophages derived from WT, TLR2−/−, or MyD88−/− exposed to live trypomastigotes. Peritoneal macrophages derived from WT, TLR2−/−, or MyD88−/−, as indicated, were exposed to medium, LPS, or to four parasites/cell ratio and phosphorylation of ERK1/2 (pERK-1 or pERK-2, top panel), or of p38/SAPK-2 (p-p38, bottom panel) were evaluated at indicated times. The unphosphorylated proteins (ERK-1, ERK-2, and p38) were also blotted as loading control. The results shown are one representative of three different experiments that yielded similar results.
As shown in Fig. 3, we also observed the production of IL-12 (top panel), TNF-α (middle panel), and RNI (bottom panel) by macrophages from TLR2−/− mice stimulated with live parasites. Although the production of RNI was intact, we noticed a diminished but significant production of TNF-α and IL-12 by inflammatory macrophages exposed to living T. cruzi trypomastigotes. In contrast, when macrophages from MyD88−/− mice were stimulated with either tGPI-mucin or live trypomastigotes, the production of TNF-α, IL-12, and RNI were completely abrogated (Fig. 3). These findings suggest the existence of an alternative receptor for macrophage activation by T. cruzi parasites.
Synthesis of TNF-α, IL-12, and RNI by macrophages derived from TLR2−/− (
), MyD88−/− (□), or WT (▪) mice exposed to live T. cruzi trypomastigotes. Macrophages derived from WT, TLR2−/−, and MyD88−/− mice were primed with IFN-γ exposed to tGPI-mucin or live T. cruzi trypomastigotes and the levels of IL-12 (top panel), TNF-α (middle panel), or nitrite (bottom panel) were measured in the culture supernatants at 24 or 48 h post macrophage stimulation, respectively. One asterisk indicates that difference is statistically significant (p < 0.05), when comparing cytokines or RNI levels produced by macrophages from WT or TLR2−/− mice to macrophages from MyD88−/− mice. Two asterisks indicate that difference is statistically significant (p < 0.05), when comparing cytokines produced by macrophages from WT mice to macrophages from TLR2−/− mice. The results shown are one representative of three different experiments that yielded similar results.
Synthesis of TNF-α, IL-12, and RNI by macrophages derived from TLR2−/− (
), MyD88−/− (□), or WT (▪) mice exposed to live T. cruzi trypomastigotes. Macrophages derived from WT, TLR2−/−, and MyD88−/− mice were primed with IFN-γ exposed to tGPI-mucin or live T. cruzi trypomastigotes and the levels of IL-12 (top panel), TNF-α (middle panel), or nitrite (bottom panel) were measured in the culture supernatants at 24 or 48 h post macrophage stimulation, respectively. One asterisk indicates that difference is statistically significant (p < 0.05), when comparing cytokines or RNI levels produced by macrophages from WT or TLR2−/− mice to macrophages from MyD88−/− mice. Two asterisks indicate that difference is statistically significant (p < 0.05), when comparing cytokines produced by macrophages from WT mice to macrophages from TLR2−/− mice. The results shown are one representative of three different experiments that yielded similar results.
TLR2−/− mice sustain robust production of proinflammatory cytokines and resistance to infection with T. cruzi
We next examined the importance of TLR2 for the induction of cytokines and RNI synthesis in vivo and host resistance to infection with T. cruzi parasites. As shown in Fig. 4, except for days 8 and 9 postinfection, when we observed a small but significant difference (p < 0.05), parasitemia was almost identical when C57BL/6 and TLR2−/− mice infected with the Y strain of T. cruzi were compared. In the experiment shown, the mortality was also slightly increased in the TLR2−/−, in comparison to WT mice, however this difference was not statistically significant when considering all the experiments performed. We also analyzed the levels of cytokines produced during the acute phase of infection with T. cruzi. Our results show that the levels of TNF-α, RNI, and more noticeable IFN-γ were significantly increased in the supernatant from cultures of splenocytes from TLR2−/− as compared with those from WT mice, all obtained at 10 days postinfection (Table I). When we look at the cytokine levels in sera, we observed that the levels of IFN-γ, but not IL-12, were significantly higher in TLR2−/− as compared with WT mice at 10 days postinfection. Similar results were obtained when we infected TLR2−/− mice with the Colombian strain of T. cruzi (35) (data not shown).
Resistance of TLR2−/− mice infected with T. cruzi parasites. Male, 8-wk-old, WT or TLR2−/− were infected with 100 forms of the Y strain of T. cruzi, and parasitemia as well as mortality was assessed daily. The results shown are one representative of four different experiments. Asterisk indicates that difference is statistically significant (p < 0.05) in days 8 and 9 postinfection, when comparing parasitemia from TLR2−/− and WT mice.
Resistance of TLR2−/− mice infected with T. cruzi parasites. Male, 8-wk-old, WT or TLR2−/− were infected with 100 forms of the Y strain of T. cruzi, and parasitemia as well as mortality was assessed daily. The results shown are one representative of four different experiments. Asterisk indicates that difference is statistically significant (p < 0.05) in days 8 and 9 postinfection, when comparing parasitemia from TLR2−/− and WT mice.
Levels of cytokines and nitrite in the supernatant from splenocyte cultures and sera from TLR2−/− and WT at 10 days postinfection with T. cruzia
| Supernatants from Cultures of Splenocytes or Sera . | WT Uninfected . | WT Infected . | TLR2−/− Uninfected . | TLR2−/− Infected . |
|---|---|---|---|---|
| Splenocytes | ||||
| IL-12 (ng/ml) | 0.5 ± 0.1 | 3.4 ± 0.4 | 0.7 ± 0.1 | 2.9 ± 0.2 |
| TNF-α (ng/ml) | <0.1 | 1.2 ± 0.1b | <0.1 | 1.7 ± 0.2b |
| IFN-γ (ng/ml) | 1.3 ± 0.7 | 12.9 ± 0.2b | 1.4 ± 0.3 | 31.3 ± 0.5b |
| Nitrite (μM) | 4.1 ± 0.4 | 25.3 ± 4.1b | 4.3 ± 0.7 | 35.0 ± 4.2b |
| Sera | ||||
| IL-12 (ng/ml) | 2.1 ± 0.6 | 9.9 ± 1.2 | 2.1 ± 0.2 | 12.0 ± 1.2 |
| IFN-γ (ng/ml) | 0.7 ± 0.3 | 6.7 ± 0.2b | 2.0 ± 0.4 | 19.7 ± 0.8b |
| Supernatants from Cultures of Splenocytes or Sera . | WT Uninfected . | WT Infected . | TLR2−/− Uninfected . | TLR2−/− Infected . |
|---|---|---|---|---|
| Splenocytes | ||||
| IL-12 (ng/ml) | 0.5 ± 0.1 | 3.4 ± 0.4 | 0.7 ± 0.1 | 2.9 ± 0.2 |
| TNF-α (ng/ml) | <0.1 | 1.2 ± 0.1b | <0.1 | 1.7 ± 0.2b |
| IFN-γ (ng/ml) | 1.3 ± 0.7 | 12.9 ± 0.2b | 1.4 ± 0.3 | 31.3 ± 0.5b |
| Nitrite (μM) | 4.1 ± 0.4 | 25.3 ± 4.1b | 4.3 ± 0.7 | 35.0 ± 4.2b |
| Sera | ||||
| IL-12 (ng/ml) | 2.1 ± 0.6 | 9.9 ± 1.2 | 2.1 ± 0.2 | 12.0 ± 1.2 |
| IFN-γ (ng/ml) | 0.7 ± 0.3 | 6.7 ± 0.2b | 2.0 ± 0.4 | 19.7 ± 0.8b |
Male mice were infected with 100 blood trypomastigote forms of the Y strain of T. cruzi and sacrificed at 10 days postinfection. Spleen cultures were performed for 48 or 72 h to measure the levels of TNF-α or IL-12, IFN-γ and nitrite, respectively.
p < 0.05, infected C57BL6 vs infected TLR2−/− mice.
Impaired resistance to infection in MyD88−/− mice infected with T. cruzi
The results shown in Figs. 1–3 indicate that an alternative pathway to TLR2 was used to activate macrophages by live T. cruzi trypomastigotes. Furthermore, the results presented in Fig. 4 and Table I indicate that TLR2−/− mice are almost as resistant to infection as WT mice, suggesting that an alternative pathway may be activated during in vivo infection with T. cruzi. Following, we examined the parasitemia and mortality in MyD88 deficient mice infected with T. cruzi parasites. As shown in Fig. 5,A, parasitemia was dramatically increased in MyD88−/− mice infected with the Y strain of T. cruzi. In addition, mortality was both accelerated and enhanced in knockout mice, culminating in 100% mortality, as compared with 40% of the WT mice, by day 18 postinfection (Fig. 5). The IFN-γ−/− mice were used as a control for a mouse lineage that is highly susceptible to infection with T. cruzi (36, 37). We observed even higher levels of parasitemia, when comparing the IFN-γ−/− to MyD88−/− mice (Fig. 5,B). In addition, 100% of mortality of IFN-γ−/− was observed by day 14 postinfection (Fig. 5,B, right panel) preceding 100% mortality in the MyD88−/− at day 18 postinfection (Fig. 5 A, right panel). Our results suggest the possibility that an alternative pathway for induction of IFN-γ may be also operating in vivo, during the acute phase of infection with T. cruzi.
Enhanced susceptibility of MyD88−/− mice to infection with T. cruzi parasites. Male, 8-wk-old, WT, MyD88−/− (A), or IFN-γ−/− (B) mice were infected with 100 forms of the Y strain of T. cruzi, and parasitemia as well as mortality assessed daily. The results shown are one representative of three different experiments. When comparing parasitemia from MyD88−/− or IFN-γ−/− to WT mice, one and two asterisk indicates that difference is statistically significant p < 0.001 and p < 0.005, respectively. Mortality curves were statistically different (p < 0.001) when comparing MyD88−/− or IFN-γ−/− to WT mice.
Enhanced susceptibility of MyD88−/− mice to infection with T. cruzi parasites. Male, 8-wk-old, WT, MyD88−/− (A), or IFN-γ−/− (B) mice were infected with 100 forms of the Y strain of T. cruzi, and parasitemia as well as mortality assessed daily. The results shown are one representative of three different experiments. When comparing parasitemia from MyD88−/− or IFN-γ−/− to WT mice, one and two asterisk indicates that difference is statistically significant p < 0.001 and p < 0.005, respectively. Mortality curves were statistically different (p < 0.001) when comparing MyD88−/− or IFN-γ−/− to WT mice.
Impaired production of proinflammatory cytokines and RNI in MyD88−/− mice infected with T. cruzi
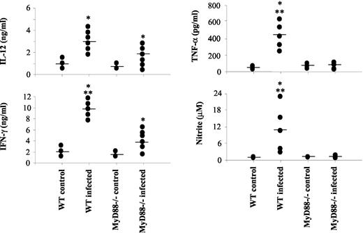
Finally, we analyzed the levels of cytokines and RNI produced during the acute phase of T. cruzi infection of MyD88−/− compared with wild-type animals. Our results show that the production of TNF-α (Fig. 6, top right panel), IFN-γ (Fig. 6, bottom left panel) and RNI (Fig. 6, bottom right panel) were largely reduced in the supernatants of spleen cells from infected MyD88−/− as compared with infected C57BL/6 mice at 10 days postinfection. The levels of IL-12 produced in splenocyte cultures from MyD88−/− infected mice were also reduced when compared with WT mice, but to a lesser extent (Fig. 6, top left panel). Spleen cells from MyD88−/− infected with T. cruzi still produced significant amounts of IL-12 and IFN-γ when compared with spleen cells from uninfected MyD88−/− mice.
Impaired cytokine production by spleen cells from MyD88−/− mice infected with T. cruzi parasites. Male, 8-wk-old, WT or MyD88−/− mice were infected with 100 forms of the Y strain of T. cruzi, and splenocytes harvested at 10 postinfection for ex vivo evaluation of cytokine and RNI production. The results show the production of IL-12 (top left), TNF-α (top right), IFN-γ (bottom left) and nitrites (bottom right) by spleen cells from MyD88−/− as compared with C57BL/6 WT mice. One asterisk indicates that difference is statistically significant (p < 0.01) when comparing levels of cytokine and RNI production by spleen cells from infected mice and respective uninfected controls. Two asterisks indicate that difference is statistically significant (p < 0.05) when comparing levels of cytokine and RNI production by spleen cells from infected WT to infected MyD88−/− mice. The results shown are one representative of two different experiments.
Impaired cytokine production by spleen cells from MyD88−/− mice infected with T. cruzi parasites. Male, 8-wk-old, WT or MyD88−/− mice were infected with 100 forms of the Y strain of T. cruzi, and splenocytes harvested at 10 postinfection for ex vivo evaluation of cytokine and RNI production. The results show the production of IL-12 (top left), TNF-α (top right), IFN-γ (bottom left) and nitrites (bottom right) by spleen cells from MyD88−/− as compared with C57BL/6 WT mice. One asterisk indicates that difference is statistically significant (p < 0.01) when comparing levels of cytokine and RNI production by spleen cells from infected mice and respective uninfected controls. Two asterisks indicate that difference is statistically significant (p < 0.05) when comparing levels of cytokine and RNI production by spleen cells from infected WT to infected MyD88−/− mice. The results shown are one representative of two different experiments.
To further confirm the cytokine differences observed in ex vivo cultures of spleen cells, we measured the levels of IFN-γ and IL-12 in the sera of MyD88−/− and WT mice at 10 days postinfection. The levels of IL-12 (Fig. 7, top panel) and IFN-γ (Fig. 7, bottom panel) were largely reduced in the sera of MyD88−/− mice, when compared with WT mice at 10 days postinfection. As noticed with spleen cells, we still observed a significant increase of both IL-12 and IFN-γ in sera from MyD88−/− mice infected with T. cruzi compared with uninfected animals.
Decreased systemic production of cytokines in MyD88−/− mice infected with T. cruzi parasites. Male, 8-wk-old, WT or MyD88−/− mice were infected with 100 forms of the Y strain of T. cruzi, and sera obtained at 10 days postinfection for evaluation of the in vivo production of IL-12 and IFN-γ. The results show the levels of IL-12 (top panel), and IFN-γ (bottom panel) in sera from MyD88−/− as compared with C57BL/6 WT mice. One asterisk indicates that difference is statistically significant (p < 0.05) when comparing levels of cytokine in the sera from infected MyD88−/− mice and respective uninfected controls. Two asterisks indicate that difference is statistically significant (p < 0.01) when comparing levels of cytokine in the sera from infected WT to infected MyD88−/− mice. The results shown are one representative of two different experiments.
Decreased systemic production of cytokines in MyD88−/− mice infected with T. cruzi parasites. Male, 8-wk-old, WT or MyD88−/− mice were infected with 100 forms of the Y strain of T. cruzi, and sera obtained at 10 days postinfection for evaluation of the in vivo production of IL-12 and IFN-γ. The results show the levels of IL-12 (top panel), and IFN-γ (bottom panel) in sera from MyD88−/− as compared with C57BL/6 WT mice. One asterisk indicates that difference is statistically significant (p < 0.05) when comparing levels of cytokine in the sera from infected MyD88−/− mice and respective uninfected controls. Two asterisks indicate that difference is statistically significant (p < 0.01) when comparing levels of cytokine in the sera from infected WT to infected MyD88−/− mice. The results shown are one representative of two different experiments.
Discussion
Different studies have shown the ability of T. cruzi parasites to activate cells from host innate immune system, including macrophages, DCs and NK cells (9, 19, 25, 26, 28), to initiate the synthesis of IL-12 and IFN-γ that are an important determinant of host resistance to infection (38, 39). Furthermore, in vivo studies have demonstrated that host resistance/susceptibility to infection is, at least in part, determined at the very early stages of infection, before the development of adaptive immunity (40). These early determinants of disease outcome are undoubtedly related to the load of tissue parasitism, tissue tropism and other important aspects to the pathogenesis of Chagas’ disease.
Studies using T. cruzi parasites have demonstrated the importance on the early IL-12-induced T cell-independent IFN-γ synthesis (38, 39) culminating in activation of RNI (41) and host protection, before the development of parasite specific immune responses (36, 37, 38, 39). The nature of T. cruzi stimulatory molecule(s) that trigger the cells from innate immune system to produce cytokines is still unresolved, despite recent reports (17, 28). Evidence has been presented that GPI anchors and GIPLs are important for the recognition of protozoan parasites by the host innate immune system (19, 20, 21, 22, 23, 24). Furthermore, we found that GPI anchors and GIPLs derived from T. cruzi trypomastigote and epimastigote stages of T. cruzi were of variable potency in triggering NF-κB activity in CHO cells transfected with both human CD14 and TLR2. These parasite glycolipids also activate murine macrophages to produce TNF-α, IL-12, and RNI via TLR2 (17). Another T. cruzi molecule has also been reported to activate macrophages and trigger differentiation of DCs through TLR2 (25). Further, unmethylated CpG motifs present in T. cruzi genomic DNA has been demonstrated to be stimulatory for macrophages, DCs, and B lymphocytes, possibly via TLR-9 (26, 27). Transialidase, a surface Ag found in different stages of T. cruzi, has been also shown to trigger the synthesis of various proinflammatory cytokines by macrophages (28). The host cognate receptor for transialidase has not been determined, but considering its activity it is likely to involve the MyD88 adaptor molecule.
In the present study, we compared the impact of TLR2 (29) or MyD88 (30) deficiencies on host resistance to infection with T. cruzi parasites. Our results suggest that a MyD88 dependent pathway has a major role in the early production of proinflammatory cytokines and host resistance to T. cruzi. Our results show that the TLR2−/− mice are only slightly more susceptible than WT mice, and that during the peak of parasitemia the differences were statistically significant. In contrast, when considering all experiments, no significant difference was observed in terms of survival curve. Consistently, these animals presented unimpaired production of IFN-γ, IL-12, TNF-α, and RNI. In contrast to TLR2−/− mice, MyD88−/− mice were highly susceptible to infection with T. cruzi. The MyD88−/− mice displayed impaired production of IFN-γ, IL-12, TNF-α, and RNI that accompanied increase in parasitemia and accelerated mortality. In agreement with these findings, macrophages from TLR2−/− mice were hyporesponsive to tGPI-mucin, but still phosphorylate MAPKs, and produced proinflammatory cytokines and synthesize RNI, when exposed to live T. cruzi trypomastigotes. In contrast, macrophages from MyD88 deficient mice, show no production of cytokines or RNI in vitro to either tGPI-mucin or live trypomastigotes. Together these results suggest that another TLR, other than TLR2, may have a major role in initiating the synthesis of proinflammatory cytokines and macrophage effector functions during in vivo infection with T. cruzi. Alternatively, activation of innate immunity during T. cruzi infection does not rely on a single TLR, but various TLRs including those that recognize parasite molecules, such as TLR2, and those that are activated by endogenous ligands, such as the IL-1R and IL-18R. Indeed, a recent study suggests that IL-18 may contribute for initial IFN-γ and to host resistance to acute infection with T. cruzi (42). Therefore, the deficiency of a single TLR, such as the TLR2, would not have a major impact in the activation of cells from innate immunity during early stages of infection with T. cruzi parasites.
A consistent finding in our study was the augmented production of IFN-γ and RNI in spleen cells from TLR2−/− mice infected with T. cruzi. These findings were confirmed by showing the higher levels of IFN-γ in sera of TLR2−/− as compared with WT mice infected with T. cruzi. Thus, it is possible that during in vivo infection with T. cruzi, TLR2 may also have a immunoregulatory role. Indeed, studies performed in our laboratory (43) and elsewhere (44) indicate that after initial activation, macrophages exposed to Trypanosoma GPI anchors may also become refractory and fail to produce TNF, IL-12, or RNI upon additional stimulation with microbial products (e.g., LPS and GPI anchors) or IFN-γ, respectively. In the case of T. cruzi derived GPI anchors the tolerance is induced via TLR2 (43), and the lack of TLR2 could prevent this tolerance state and result in augmented synthesis of cytokines and RNI observed in vivo. Alternatively, GPI anchors from T. cruzi have been shown to exert an inhibitory effect in the function of T cells (45). Thus, the lack of functional TLR2 could prevent stimulation of CD4+CD25+ T cells with immunoregulatory functions (46), culminating in enhanced production of IFN-γ during in vivo infection with T. cruzi.
In addition, we observed that MyD88−/− mice were not as susceptible as the IFN-γ−/− and observed small, but significant levels of IL-12 and IFN-γ being produced by spleen cells from MyD88−/− infected with T. cruzi. Consistently, the levels of IFN-γ and IL-12 were also enhanced in the sera of MyD88−/− mice infected with T. cruzi, as compared with uninfected MyD88−/− control mice. These results indicate that a MyD88 independent pathway is also operating in the ignition of the early cytokine production elicited by T. cruzi parasites. Indeed, there are at least four additional adapters containing Toll-IL receptor domains that are analogous to MyD88, i.e., Mal/Tirap (47, 48), TRIF/TICAM (49), TRAM and an unnamed new homologue to MyD88 (D. T. Golenbock, unpublished observations). It has been demonstrated that in MyD88−/− mice, other signaling pathways involving MyD88 homologues and triggered by TLRs are preserved. Therefore this may explain the IL-12 and consequent IFN-γ production in mice MyD88−/− infected with T. cruzi parasites. Alternatively, other signaling pathways independent of TLRs and MyD88 homologues could be operating in the MyD88−/− infected with T. cruzi. Indeed, studies performed with T. gondii extracts demonstrate that an IL-12 inducible activity seems to operate independently of TLR. This pathway involves the chemokine receptor CCR5 and synergizes with a MyD88 dependent pathway (11). Regardless, as shown for different protozoan parasites (10, 11, 12, 13, 14), our findings indicate that MyD88 adaptor is a main pathway for induction of proinflammatory cytokines, including TNF-α and IL-12 that will lead to the production of high levels of IFN-γ and RNI as well as to control parasite replication during acute phase of infection with T. cruzi.
It is well established that, at least in part, the development of symptoms and pathologies observed during Chagas′ disease is caused by an excessive stimulation of the host immune system by the T. cruzi parasites. The ability of this protozoan parasite to stimulate the synthesis of proinflammatory cytokines has also been shown in humans PBMCs (50, 51). In addition, high levels of TNF-α and IFN-γ are produced in the site of infection, as observed in the heart tissue from patients with chronic Chagas′ disease (52, 53). Therefore, the demonstration that T. cruzi employs a MyD88 dependent pathway to elicit cytokine production by the host cells, may have important implications in understanding the pathogenesis of Chagas′ disease.
Finally, a variety of parasite molecules have been shown to activate TLR2 (9, 17, 25, 54), and MyD88 is an important determinant of host resistance to infection with various protozoan parasites, such as Plasmodium berghei (10), Toxoplasma gondii (11, 12), Leishmania major (13, 14), and now T. cruzi. Furthermore, characterization of different parasite molecules and their counterpart receptors that use MyD88 adaptor and are activated during infection with these pathogens, are a matter of great interest and could be eventually used to develop new strategies to stimulate protective immunity and prophylaxis. Alternatively, antagonists of such receptors could be used in immunotherapeutic protocols to prevent overwhelming inflammatory processes and immunological responses that are often observed as main cause of pathological processes observed during parasitic infections.
Acknowledgements
We are grateful to Diogo P. Oliveira, Soraia C. O. Rodrigues, Vanuza Nascimento, and Maria Helena Alves, for technical assistance in keeping the colonies of animals used in this work. We are also thankful to Douglas T. Golenbock for discussions during the development of this study and for critically reading this manuscript.
Footnotes
This work was supported by grants from the World Health Organization/Special Program for Research and Training in Tropical Diseases (Grant A00477), Conselho Nacional de Pesquisas e Desenvolvimento Tecnológico, Conselho Nacional de Pesquisas e Desenvolvimento Tecnológico/Programa de Auxílio ao Desenvolvimento Científico e Tecnológico (Grant 62.0543/98-1), Fundação de Amparo a Pesquisa do Estado de Minas Gerais (Grants EDT 24000 and CBB 139/02), and Fundação Oswaldo Cruz. R.T.G., and J.I.A.-L. are research fellows from Conselho Nacional de Pesquisas e Desenvolvimento Tecnológico.
Abbreviations used in this paper: TLR, Toll-like receptor; GIPL, glycoinositolphospholipids; MAPKs, mitogen-activated protein kinases; tGPI-mucin, GPI-mucin derived from T. cruzi trypomastigotes; MyD88, myeloid differentiation factor 88; DC, dendritic cell; p38/SAPK-2, stress-activated protein kinase-2, also named p38; RNI, reactive nitrogen intermediates; WT, wild type.






