Abstract
Tumor-associated macrophages (TAM) may have tumor-promoting activity, but it is not clear how their phenotype is achieved. In this study, we demonstrate that ovarian cancer cells switch cocultured macrophages to a phenotype similar to that found in ovarian tumors. Tumor cells caused dynamic changes in macrophage cytokine, chemokine, and matrix metalloprotease mRNA, and protein-inducing mediators that are found in human cancer. Macrophage mannose, mannose receptor, and scavenger receptors (SR-As) were also up-regulated by coculture, but not by conditioned medium. To further validate the model, we studied SR-A regulation on TAM in vitro and in vivo. Coculture of murine macrophages from mice deficient in TNF-α or its receptors revealed that TNF-α was key to SR-A induction via its p75 receptor. SR-A expression was also reduced in TAM from ovarian cancers treated with anti-TNF-α Abs or grown in TNF-α−/− mice. Chemical communication between tumor cells and macrophages may be important in regulating the cancer cytokine microenvironment.
Solid tumors are comprised of neoplastic cells, non-malignant resident stromal cells, and migratory hemopoietic cells. Complex interactions between the cell types in this microenvironment regulate tumor growth, progression, metastasis, and angiogenesis (1). It is well established that stromal cells within the microenvironment may contribute to tumor growth and spread (2, 3). One such stromal cell that may promote cancer progression is the macrophage, and there is a growing body of preclinical and clinical evidence associating abundance of tumor-associated macrophages (TAM)4 with poor prognosis (4, 5, 6, 7).
Macrophages respond to microenvironmental signals and represent a spectrum of M1 to M2 phenotypes. Macrophages are classically activated toward the M1 phenotype by microbial products or IFN-γ. Alternative activation by stimulation with IL-4, IL-13, and IL-10 drives macrophages toward the M2 phenotype (8). There is evidence that TAM are of the M2 type with an IL-10highIL-12low phenotype, and cell surface expression of mannose receptors (MR) and scavenger receptors (SR-A) (8). TAM derive from circulating monocytic precursors and preferentially localize at the stroma-tumor interface (1, 5, 9). They are recruited to the tumor site by cytokines, chemokines, and other tumor-derived factors, and, once in situ, produce chemokines, cytokines, and growth and angiogenic factors (1). The tumor environment is thought to educate TAM (5) toward a tumor-promoting phenotype but the mechanisms of this are not fully understood.
Epithelial ovarian cancer exhibits a complex cytokine-chemokine network (10, 11). Receptors for chemokines are expressed on a variety of infiltrating cells, including macrophages, which are recruited into ovarian cancers by chemokines such as CCL2 (12). Furthermore, cytokines in ovarian cancer may down-regulate expression of the chemokine receptor CCR2 (13), which may prevent further macrophage migration within the tumor and ensure continuous production of growth and angiogenic factors.
We have used a simple in vitro model to study interactions between ovarian tumor cells and macrophages via soluble mediators (14) and have demonstrated that these macrophages promote ovarian cancer cell invasion in a TNF-α- and NF-κB/AP-1-dependent manner (15).
In this study, we demonstrate that this interaction is a two-way process: ovarian cancer cells are also capable of modulating the macrophage phenotype in vitro. Following coculture there are dynamic changes in macrophage expression of mediators such as IL-10, IL-12, IL-6, TNF-α, CCL5, CCL22, and CSF-1, and the macrophages develop a cell surface phenotype typical of alternative activation. The cytokines and cell surface receptors that are induced in the cocultured macrophages are also detected in human ovarian cancer. To further assess the relevance of the in vitro model to the in vivo microenvironment, we studied regulation of the class A SR. In the cocultures, TNF-α induced SR-A via its type 2 receptor, and SR-A expression was decreased when a transplantable murine ovarian cancer was grown in TNF−/− mice or treated mice with anti-TNF-α Abs.
Our data suggest that communication between TAM and tumor cells is important in regulating the tumor cytokine network. They also provide a rationale for targeting macrophages and TNF-α as a part of the tumor-promoting microenvironment in ovarian cancer.
Materials and Methods
Cells lines and reagents
The IGROV1 (16), TOV21G, TOV112D, and SKOV3 (all American Type Culture Collection) human ovarian cancer cell lines and the telomerase-immortalized benign human ovarian epithelial cell line (IOSE) were cultured in RPMI 1640 medium supplemented with 10% FBS. The murine ovarian cancer cell line, ID8, a gift from Kathy Roby (University of Kansas Medical Center, Kansas City, KS) (17) was cultured in DMEM supplemented with 4% FBS and 5 μg/ml insulin, 5 μg/ml transferrin, and 5 ng/ml sodium selenite (all Sigma-Aldrich). All experiments were performed under endotoxin-free conditions. Cell viability and proliferation were measured using the ViCell XR Counter (Beckman Coulter).
Patient samples
Collection of ascitic fluid and solid tumors was approved by the East London and City Health Authority Research Ethics Committee, and informed consent was obtained from patients attending the Gynaecologic Oncology Unit at St. Bartholomew’s Hospital (London, U.K.). Samples of ascitic fluid were collected from patients with ovarian carcinoma at the time of surgery or by paracentesis for palliative/diagnostic purposes. Volumes between 1 and 1.5 L were taken from patients with epithelial ovarian cancer. Each sample was centrifuged, the ascitic fluid was removed, and the cell isolate was then treated with ACK lysing buffer (150 mM NH4 Cl, 10 mM KHCO3, and 100 mM Na2-EDTA) to remove RBC before flow cytometry.
Primary ovarian cancer cells (AS2, AS3, and 0AS3) from ascites were obtained from patients undergoing surgery for ovarian cancer and cultured in RPMI 1640 as described previously (18).
Mice
All mice were housed in negative-pressure isolation at the Cancer Research U.K. containment facility. Mice homozygous for the mutant TNF-α knockout allele, TNFR1 and TNFR2, and wild-type (wt) mice were maintained on a C57BL/6 background. In every experiment, we used 8-wk-old wt and TNF−/− female mice (age matched to within 3 days).
ID8 tumor and treatment with anti-TNF-α Ab
The syngeneic ID8 murine ovarian cancer cell line was grown in female C57BL/6 and C57BL/6 TNF-α−/− mice. Sixty female C57BL/6 mice or 20 C57BL/6 TNF-α−/− mice were i.p. injected with 5 × 106 ID8 cells in 0.2 ml of PBS. C57BL/6 wt mice were injected either with cV1q anti-TNF-α (500 μg/mouse/wk in 0.1 ml, gift from Centocor) or control (PBS, 0.1 ml) on day 0 and then once per week for the duration of the experiment as described previously (19). Ascites and solid tumors were collected and fixed in 10% formal saline and liquid nitrogen.
Generation of human and murine macrophages
Human monocytes were isolated from PBMC by CD14-positive selection (Miltenyi Biotec) and cultured in Teflon bags (Süd-Laborbedarf) with AIM V medium (Invitrogen Life Technologies) and 2% human AB serum until differentiation into macrophages for at least 14 days (14). Murine macrophages were derived from C57BL/6 wt, C57BL/6 TNF-α−/−, C57BL/6 TNF-α receptor 1, and C57BL/6 TNF-α receptor 2 null bone marrow. Briefly, bone marrow was flushed from the femur with 5 ml of PBS, washed, and cultured for 7 days in DMEM supplemented with 100 ng/ml recombinant murine M-CSF (R&D Systems).
Antibodies
Neutralizing Abs to human (h) TNF-α (clone 28401), hCCL22 (clone 57226), hIL-6 (clone 6708), and hCSF-1 (clone 26730) were purchased from R&D Systems. Mouse anti-human mannose receptor (CD206) Ab was obtained from HyCultbiotechnology (clone 15-2, used 1/10). Abs to human and murine SR-A and MR were from stocks prepared at the Sir William Dunn School of Pathology (Oxford, U.K.). Prelabeled Abs to murine FITC-F4/80 (clone CI:A3-1), SR-A (clone 2F4, PE-SR-A, CD204), and MR (clone MR5D3, PE-MR, CD206) were purchased from Serotec. Anti-human CD68 Ab was obtained from DakoCytomation (clone PG-M1). Met-CCL5 (Serono) was prepared as described previously (20) at 100 μg/ml. Isotype-matched Abs were used as controls (R&D Systems).
Coculture assay
IGROV1, TOV21G, and IOSE cells (1 × 105 cells/ml RPMI 1640) or ID8 (0.5 × 105 cells/ml DMEM) were cocultured with macrophages without direct cell-to-cell contact as described previously (14). Briefly, 2 × 105 macrophages/ml (human) or 0.5 × 105 cells/ml (murine) were seeded in Transwell inserts (0.2-μm pores; Nunc), which consists of a membrane permeable for liquids but not for cells. The Transwells were inserted into a 6-well plate. In some experiments, neutralizing Abs, isotype control Abs, or recombinant human TNF-α (500 pg/ml) or recombinant murine TNF-α (500 pg/ml) were added and renewed every 24 h. All experiments were performed at least in triplicate.
RNA extraction and transcription
RNA was extracted using the ABI PRISM 6700 automated nucleic acid workstation (Applied Biosystems) according to the manufacturer’s protocol. RNA (2 μg) was reverse transcribed into 100 μl of cDNA with Moloney murine leukemia virus reverse transcriptase and random hexamers (Promega).
Real-time RT-PCR
Multiplex real-time analysis was performed using CCL2, CCL3, CCL4, CCL5, CCL7, CCL17, CCL22, CXCL12, CCR2, CCR4, CCR7, CCR9, CXCR4, CSF-1, IL-1α, IL-1β, IL-4, IL-6, IL-10, IL-12, TNF-α, TGFβ, IFN-α, IFN-γ (FAM), and 18S rRNA (VIC)-specific primers and probes with the ABI PRISM 7700 Sequence Detection System instrument and software (PE Applied Biosystems). PCR was conducted with the TaqMan Universal PCR Master Mix (PE Applied Biosystems) using 2 μl of cDNA in a 25-μl final reaction volume. The cycling conditions were an incubation at 50°C for 2 min, followed by 10 min at 95°C, 60 cycles of 15 s at 95°C, and 1 min at 60°C. Experiments were performed in triplicate for each sample. Gene expression was normalized to the 18S RNA, and fold difference was calculated as described before (21).
Real-Time PCR low-density array
Gene expression comparisons between control and cocultured macrophages after 24 h (with IOSE, IGROV), and macrophages with or without conditioned tumor medium were performed using low-density array (part no. 4342259; Applied Biosystems). For each sample, 40 μl of cDNA were mixed with 210 μl of TaqMan Universal PCR Master Mix (PE Applied Biosystems) and 170 μl of PCR grade water to form the reaction mix. Four hundred microliters of this reaction mix was pipetted into the low-density array containing primers and probes for 96 genes in duplicate. These genes included chemokine, chemokine receptor, cytokine, cytokine receptor, and matrix metalloprotease (MMP) genes and 18S as endogenous control. The real-time RT-PCR and laser scanning was performed on an ABI 7900HT genotyper with SDS2.1 software. The expression level of each gene was normalized to 18S and calibrated to control sample to obtain the relative expression level. Each gene was assessed in duplicate in every experiment and only the genes with reproducible amplification curves were analyzed. Experiments were conducted in triplicate.
Flow cytometry
Human and murine FcRs were blocked using human IgG (Sigma-Aldrich) or anti-mouse CD16/CD32 (mouse Fc Block; BD Pharmingen), respectively. For staining, cells were washed and resuspended in PBS supplemented with 1% heat-inactivated FBS and 0.01% NaN3. Abs were diluted in this buffer and used at a final concentration of between 2 and 20 μg/ml. Incubations with Abs were conducted for 30 min on ice. Briefly, for double CD68 or F4/80 and SR-A or MR labeling, cells were stained with MR or SR-A Ab and counterstained with a PE-conjugated secondary Ab (Sigma-Aldrich). Cells were fixed in ice-cold 4% paraformaldehyde, permeabilized with 0.1% saponin, then incubated with the FITC-CD68 Ab (clone KP1; DakoCytomation) or isotype-matched control (11711.11) in 0.3% saponin. Following the final washing step, labeled cells were analyzed by flow cytometry on a FACScan flow cytometer using CellQuest software (BD Biosciences).
Immunohistochemistry
Using a standard ABC technique, anti-human IgG control, CD68, MR, and SR-A Abs (1/100 dilution) were used on 10 ovarian cancer samples and localized with diaminobenzidine, followed by counterstaining with hematoxylin.
Cytokine detection
To determine cytokine levels in the supernatant of control or cocultured cells, cytometric bead assays (BD Pharmingen) were used to detect IL-8, IL-1β, IL-6, IL-10, IL-12p70, or TNF-α according to the manufacturer’s instructions. CSF-1, IL-13, CCL5, CCL22, MMP-7, MMP-9, vascular endothelial growth factor (VEGF), and human and murine TNF-α supernatant concentrations were measured by ELISA according to the manufacturer’s instructions (R&D Systems).
Statistical analysis
All experiments were performed in triplicate and representative data are shown. Results were tested for statistical significance using Student’s t test with GraphPad Prism version 4.0c software.
Results
Human peripheral blood monocytes were differentiated into macrophages in vitro. After maturation, macrophages were cocultured in Transwell inserts with different ovarian cell lines in a modified microinvasion chamber without direct cell-cell contact as previously described (15). The macrophages were harvested from the Transwell inserts and changes in gene expression were assessed.
Coculture alters human macrophage gene expression
Human macrophages were cocultured for 24 h with the ovarian cancer cell line IGROV1 or hTERT IOSE. We then performed semiquantitative real-time RT-PCR, using a low-density array, on cDNA from cocultured macrophages to analyze expression of chemokines/chemokine receptors, cytokines/cytokine receptors, metastasis-associated genes, extracellular matrix remodeling genes, and one endogenous control gene (18S). When compared to control cultured macrophages, macrophages cocultured with tumor cells showed significant up-regulation (50- to 500-fold increase) of mRNA for the genes CCL2, CCL4, CCL22, CXCR4, CXCL12, TNF-α, TGFβ1, MMP-7, CSF-1, and VEGF-C. A 5- to 50-fold increase of gene expression was observed for CCL17, CCR5, MMP-1, -2, -9, -14, and VEGF-B and a 2–5-fold increase of expression of CXCR3, IL-18, TGFβR1, TGFβR2, and VEGF-B. Significant down-regulation (50- to 500-fold) was observed for the genes CXCL5, CCL20, and MMP-11. CCL1, CXCR3R1, and CXCL11 exhibited a 5- to 50-fold decrease and up to 5-fold decrease in expression of CCL3, CCL5, and CCR7 was observed (Table I).
Low-density array analysis of genes up- and down-regulated in macrophages by coculture with ovarian cancer cellsa
| Decrease . | . | . | No change . | Increase . | . | . | ||||
|---|---|---|---|---|---|---|---|---|---|---|
| −500 . | −50 . | −5 . | . | +5 . | +50 . | +500 . | ||||
| CCL20 (27 ) | CCBP2b | CCL3 (27 ) | CCL8 | ASS | CCL7 (27 ) | CCL2 (10 27 ) | ||||
| CCR7 | CCL1 | CX3CL1 | CCL25 | CXCR5 | CCL17 | CCL4 (10 ) | ||||
| CXCL5 | CCL5 | CXCL2 | CCL26 | CCL24 | CCL18 (27 ) | CCL22 (10 ) | ||||
| MMP-11 | CX3CR1 | CXCL9 | CCL27 | CCR1 (10 13 ) | CCL19 | CCL23 (10 ) | ||||
| MMP-17 | CXCL11 | CXCL10 | CCR2 | CCR3 | CCR5 (13 ) | CSF-1 (26 ) | ||||
| MMP-25 | CXCL16 | CXCL13 | CCR4 | CIP29 | CXCL14 | CXCL1 | ||||
| MMP-27 | Duffy | XCL1 | CCR6 | CXCR3 | MMP-1 | CXCL3 | ||||
| MMP-15 | CCR8 | IL-18 | MMP-2 (23 28 ) | CXCL6 | ||||||
| XCR1 | CCR9 | MMP-3 | MMP-9 (23 28 ) | CXCL12 | ||||||
| CCRL1 | MMP-19 | MMP-14 | CXCR4 | |||||||
| CXCR6 | MMP-21 | VEGF (29 ) | MMP-7 | |||||||
| VEGF-D | TGFBR1 | MMP-8 | ||||||||
| GPR2 | TGFBR2 | MMP-10 | ||||||||
| MMP-16 | VEGF-B | MMP-12 | ||||||||
| MMP-24 | TGFB1 | |||||||||
| MMP-28 | TNF-α (13 28 24 ) | |||||||||
| CXCL4 | VEGFC | |||||||||
| PF4V1 | ||||||||||
| PPBP | ||||||||||
| Decrease . | . | . | No change . | Increase . | . | . | ||||
|---|---|---|---|---|---|---|---|---|---|---|
| −500 . | −50 . | −5 . | . | +5 . | +50 . | +500 . | ||||
| CCL20 (27 ) | CCBP2b | CCL3 (27 ) | CCL8 | ASS | CCL7 (27 ) | CCL2 (10 27 ) | ||||
| CCR7 | CCL1 | CX3CL1 | CCL25 | CXCR5 | CCL17 | CCL4 (10 ) | ||||
| CXCL5 | CCL5 | CXCL2 | CCL26 | CCL24 | CCL18 (27 ) | CCL22 (10 ) | ||||
| MMP-11 | CX3CR1 | CXCL9 | CCL27 | CCR1 (10 13 ) | CCL19 | CCL23 (10 ) | ||||
| MMP-17 | CXCL11 | CXCL10 | CCR2 | CCR3 | CCR5 (13 ) | CSF-1 (26 ) | ||||
| MMP-25 | CXCL16 | CXCL13 | CCR4 | CIP29 | CXCL14 | CXCL1 | ||||
| MMP-27 | Duffy | XCL1 | CCR6 | CXCR3 | MMP-1 | CXCL3 | ||||
| MMP-15 | CCR8 | IL-18 | MMP-2 (23 28 ) | CXCL6 | ||||||
| XCR1 | CCR9 | MMP-3 | MMP-9 (23 28 ) | CXCL12 | ||||||
| CCRL1 | MMP-19 | MMP-14 | CXCR4 | |||||||
| CXCR6 | MMP-21 | VEGF (29 ) | MMP-7 | |||||||
| VEGF-D | TGFBR1 | MMP-8 | ||||||||
| GPR2 | TGFBR2 | MMP-10 | ||||||||
| MMP-16 | VEGF-B | MMP-12 | ||||||||
| MMP-24 | TGFB1 | |||||||||
| MMP-28 | TNF-α (13 28 24 ) | |||||||||
| CXCL4 | VEGFC | |||||||||
| PF4V1 | ||||||||||
| PPBP | ||||||||||
After 24 h of coculture with IGROV1 cells, macrophage cDNA was analyzed by low-density array (microfluidic cards) of chemokines/chemokine receptors, cytokines/cytokine receptors, metastasis-associated genes, extracellular matrix remodeling genes, and one endogenous control gene (18S) expression. Macrophages cocultured with tumor cells showed significant up-regulation of several mRNAs. Only the genes with reproducible amplification curves of both duplicates were analysed and presented. References to existing data on the cytokine network of human ovarian cancer are shown in parentheses.
CCBP2, Chemokine binding protein 2; ASS, argininosuccinate synthetase; GPR2, G protein-coupled receptor 2 or CCR10.
Serum addition did not alter gene expression profiles in control macrophages over a 72-h time course. To investigate the requirement of tumor cells in this system, supernatants from 72-h tumor:macrophage cocultures were added to control macrophages. These induced negligible changes in macrophage gene expression profiles (data not shown). Similarly, coculture of macrophages with IOSE cells induced a few minor changes in mRNA expression (data not shown). This suggested that a constant chemical cross-talk was required between the macrophages and malignant ovarian epithelial cells to induce the altered gene expression in macrophages. We, therefore, studied the dynamics of macrophage mRNA and protein expression in the coculture.
Dynamics of gene expression in cocultured macrophages
Real-time RT-PCR analysis of selected genes was used to confirm the low-density array results and to study expression of these genes and additional inflammatory cytokines over time. Experiments at 3, 6, 8, 16, 24, 36, 48, and 72 h of coculture confirmed the low-density array data and revealed that macrophage gene expression changed with time. For instance, CCL5 mRNA expression was up-regulated in macrophages after 3 h of coculture with tumor cells and then decreased between 16 and 48 h (Fig. 1,A). CCL22 gene expression increased by 3 h of coculture with a peak between 8 and 24 h before decreasing toward basal levels after 48 h (Fig. 1,B). IL-10 gene expression increased rapidly at the start of coculture and dropped at 24 h before increasing again (Fig. 1,C). Expression of IL-12 was consistently low (Fig. 1,D). IL-6 mRNA expression peaked between 8 and 36 h of coculture, then decreased during the rest of the experiment (Fig. 1,E). Increased TNF-α expression was observed after 3 h of coculture (Fig. 1,F), whereas CSF-1 expression increased after 8 h of coculture (Fig. 1,G). IFN-γ was not induced at any time (Fig. 1 H).
mRNA real-time RT-PCR time course of cytokines and chemokines expressed by cocultured macrophages. RNA was extracted from macrophages at the time points indicated and real-time RT-PCR was performed. CCL5 (A), CCL22 (B), IL-10 (C), IL-12 (D), IL-6 (E), TNF-α (F), CSF-1(G), and IFN-γ (H). The values represent fold difference in relation to control-cultured macrophages at each time point. The results are representative of three separate experiments.
mRNA real-time RT-PCR time course of cytokines and chemokines expressed by cocultured macrophages. RNA was extracted from macrophages at the time points indicated and real-time RT-PCR was performed. CCL5 (A), CCL22 (B), IL-10 (C), IL-12 (D), IL-6 (E), TNF-α (F), CSF-1(G), and IFN-γ (H). The values represent fold difference in relation to control-cultured macrophages at each time point. The results are representative of three separate experiments.
Dynamics of protein expression in tumor:macrophage coculture
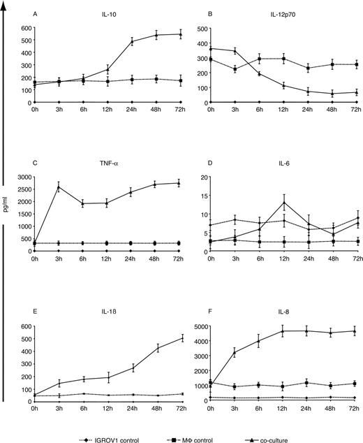
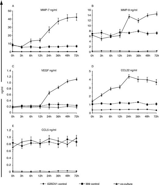
To verify the mRNA expression data, protein levels of some inflammatory cytokines, chemokines, angiogenic factors, and MMP were measured in culture supernatants during coculture. The protein levels generally mirrored the mRNA results. An inflammatory cytokine cytometric bead array showed that IL-12, TNF-α, IL-10, and IL-1β were not detected in IGROV1 control supernatants, but that these cells produced low levels of IL-6 and IL-8. Macrophages constitutively produced higher levels of all of these cytokines under control conditions. Following coculture, IL-10 protein increased steadily over control levels to peak after 48 h of coculture (Fig. 2,A). Levels of IL-12 (Fig. 2,B) decreased following coculture. TNF-α and IL-1β protein levels were also elevated during coculture. An early increase was observed following 3 h of coculture, TNF-α declined briefly at 6 h, then increased for the duration of the experiment (Fig. 2,C, E), whereas levels of IL-6 (Fig. 2,D) and IL-8 (Fig. 2,F) were not significantly altered. In confirmation of the low-density gene array data, protein expression of MMP-7 was up-regulated at 6 h and then increased steadily for the duration of the experiment (Fig. 3,A). MMP-9 was elevated from 24 to 72 h (Fig. 3,B). VEGF protein was up-regulated in coculture between 24 and 72 h (Fig. 3,C). This again confirmed the mRNA data. Both IGROV1 cells and macrophages produce CCL22 and after coculture this was strongly up-regulated by 3 h and remained elevated throughout the experiment (Fig. 3 D).
Inflammatory cytokine protein secreted into culture supernatant. IGROV1 alone (♦), macrophage alone (▪), or coculture supernatants (▴) were harvested at the time points indicated. Cytokine concentrations were measured using a cytometric bead array. Values represent mean ± SD (n = 3). IL-10 (A), IL-12p70 (B), TNF-α (C), IL-6 (D), IL-1β (E), and IL-8 (F).
Inflammatory cytokine protein secreted into culture supernatant. IGROV1 alone (♦), macrophage alone (▪), or coculture supernatants (▴) were harvested at the time points indicated. Cytokine concentrations were measured using a cytometric bead array. Values represent mean ± SD (n = 3). IL-10 (A), IL-12p70 (B), TNF-α (C), IL-6 (D), IL-1β (E), and IL-8 (F).
MMP, growth factor, and chemokine protein secreted into culture supernatant. IGROV1 alone (♦), macrophage alone (▪), or coculture supernatants (▴) were harvested at the time points indicated. Protein concentrations were measured by ELISA. Values represent mean ± SD (n = 3). MMP-7 (A), MMP-9 (B), VEGF (C), CCL22 (D), and CCL5 (E).
MMP, growth factor, and chemokine protein secreted into culture supernatant. IGROV1 alone (♦), macrophage alone (▪), or coculture supernatants (▴) were harvested at the time points indicated. Protein concentrations were measured by ELISA. Values represent mean ± SD (n = 3). MMP-7 (A), MMP-9 (B), VEGF (C), CCL22 (D), and CCL5 (E).
In contrast to the mRNA data, CCL5 protein levels were not altered and high levels of protein were detectable throughout the experiment (Fig. 3 E).
We next assessed whether the pattern of mRNA and protein induction seen in the cocultures correlated with the in vivo microenvironment of human ovarian cancer.
Correlation between in vitro coculture and the cytokine/chemokine network of human ovarian cancer
We know from our previous studies (10, 22, 23, 24, 25), and those of other authors (13, 26, 27, 28, 29) that certain cytokines, chemokines, and MMP can be detected in solid tumors and ascites from human ovarian cancer. As shown in Table I, many of these were also up-regulated in our coculture model. In fact, of 15 different mediators or cell surface receptors that have previously been reported to be present in vivo in human ovarian cancer, 13 were up-regulated in the cocultures (Table I). CCL5 and CCL20 were two discrepancies that may reflect differences between the ascitic and solid ovarian tumor microenvironment. These two CC chemokines have been previously reported in relation to ovarian carcinomas and have been recovered from ovarian carcinoma ascitic fluid (10, 27). CCL20 was detected in minor quantities, whereas CCL5 was detected at extremely high levels; however, this might be attributable to the release of stored CCL5 from platelets.
Next, we investigated the effects of the dynamic “chemical cross-talk” on the cell surface phenotype of cocultured macrophages and related this to TAM in the human disease.
Cell surface protein expression of mannose and class A scavenger receptors on cocultured macrophages
To study the phenotype of cocultured macrophages, we assessed cell surface expression of two markers for alternatively activated macrophages, namely, SR-A and MR (30, 31). After in vitro maturation, macrophages were washed with PBS and kept in RPMI 1640 and 0.5%BSA to avoid SR-A or MR induction. Control macrophages were not completely negative for SR-A or MR expression, but levels of these receptors did not change during 72 h of culture. Expression varied depending on the donor (control Mφ-SR-A: 9 ± 6%; control Mφ-MR: 9 ± 5%) and expression of MR or SR-A on macrophages was compared with expression on control macrophages. During a 72-h time course of coculture with IGROV1 cells, both MR and SR-A expression was increased on cocultured macrophages (Fig. 4). Macrophages from different donors (n = 10) cocultured with IGROV1 up-regulated MR and SR-A; however, the numbers of CD68/MR- or CD68/SR-A-positive cells varied among donors (CD68/MR on cocultured Mφ: 56 ± 29%; CD68/SR-A on cocultured Mφ: 49 ± 30%; n = 10). Macrophages used in these experiments expressed 94 ± 2% CD68 (n = 10). By addition of rTNF-α alone to bone marrow-derived macrophages, we could demonstrate that TNF-α seems to be necessary but not sufficient to induce MR or SR-A expression (data not shown).
SR-A and MR expression on human cocultured macrophages. Macrophages were cocultured with IGROV1 cells and analyzed at the time points indicated for expression of CD68/SR-A (A) and CD68/MR (B). Numbers in quadrants represent the percentage of macrophages expressing both of these markers. This is representative of 10 experiments performed.
SR-A and MR expression on human cocultured macrophages. Macrophages were cocultured with IGROV1 cells and analyzed at the time points indicated for expression of CD68/SR-A (A) and CD68/MR (B). Numbers in quadrants represent the percentage of macrophages expressing both of these markers. This is representative of 10 experiments performed.
To assess whether this was a more general phenomenon, we also conducted these coculture experiments with TOV21G, another human ovarian cancer cell line. Coculture with TOV21G resulted in 93% of macrophages becoming double positive for CD68/SR-A and 88% for CD68/MR. However, coculture of macrophages with IOSE cells or treatment of macrophages with coculture tumor cell:macrophage-conditioned medium did not induce expression of either MR or SR-A. Moreover, in a murine model, MR and SR-A were up-regulated on C57BL/6 bone marrow-derived macrophages upon coculture with the syngenic ID8 murine ovarian cancer cell line compared with control macrophages (Fig. 5).
SR-A expression on murine cocultured macrophages. Bone marrow-derived murine macrophages from wt, TNF-α−/−, TNFR1−/−, and TNFR2−/− C57BL/6 mice were cocultured with ID8 ovarian cancer cells and analyzed after 72 h for SR-A and F4/80 expression. A, Control macrophages without coculture. B, Cocultured macrophages. C, Rescue of TNF-α−/−:ID8 cocultured macrophages by addition of recombinant human and murine TNF-α (n = 8 separate experiments).
SR-A expression on murine cocultured macrophages. Bone marrow-derived murine macrophages from wt, TNF-α−/−, TNFR1−/−, and TNFR2−/− C57BL/6 mice were cocultured with ID8 ovarian cancer cells and analyzed after 72 h for SR-A and F4/80 expression. A, Control macrophages without coculture. B, Cocultured macrophages. C, Rescue of TNF-α−/−:ID8 cocultured macrophages by addition of recombinant human and murine TNF-α (n = 8 separate experiments).
To confirm the in vivo relevance, we analyzed macrophages in malignant ascites and solid tumors from ovarian cancer patients.
Solid ovarian cancers and malignant ovarian ascites contain alternatively activated macrophages
Macrophages in solid tumors were identified by CD68 expression and in serial sections we determined that these macrophages also expressed SR-A (n = 10; Fig. 6 A).
Expression of scavenger and MR on macrophages in human patient biopsies and malignant ovarian cancer ascites. A, Colocalization of CD68 and SR-A on macrophages in solid ovarian cancer (n = 10 patients). B, Unstained ovarian ascites (top panel), double staining of CD68/SR-A (middle panel), and double staining of CD68/MR (bottom panel). Numbers in quadrants represent percentage of positive cells (n = 10 patients). C, SR-A expression on unstained macrophages (dashed line), control macrophages (dashed and dotted lines), and cocultured macrophages (solid line). Primary human ovarian cancer cells (AS2, AS3, and AS4) were cocultured with human macrophages for 72 h.
Expression of scavenger and MR on macrophages in human patient biopsies and malignant ovarian cancer ascites. A, Colocalization of CD68 and SR-A on macrophages in solid ovarian cancer (n = 10 patients). B, Unstained ovarian ascites (top panel), double staining of CD68/SR-A (middle panel), and double staining of CD68/MR (bottom panel). Numbers in quadrants represent percentage of positive cells (n = 10 patients). C, SR-A expression on unstained macrophages (dashed line), control macrophages (dashed and dotted lines), and cocultured macrophages (solid line). Primary human ovarian cancer cells (AS2, AS3, and AS4) were cocultured with human macrophages for 72 h.
We have previously (10) reported the presence of variable numbers of macrophages in ovarian cancer ascites. To assess the phenotype of these macrophages, ascites samples from patients with epithelial ovarian cancer were screened for CD68 expression and also expression of MR and SR-A. Using FACS analysis, we determined that a large proportion of CD68+ macrophages in ovarian cancer ascites (samples of individual patients: n = 10) were also positive for MR expression (62.73 ± 16.27%) and SR-A (66.28 ± 4.31%; Fig. 6 B).
Coculture of the human primary ovarian cancer cells (AS2, AS3, and AS4) with human macrophages increased SR-A cell surface expression after 72 h of coculture (Fig. 6 C).
Our results so far suggested that the coculture model may be of use in studying the regulation of TAM in the in vivo tumor microenvironment. To further validate the model, we studied the mechanism by which one of the macrophage surface receptors, the SR-A, was induced in vitro and in vivo.
Regulation of SR-A in the cocultures
SR-A expression is regulated, in part, by CSF-1 (32). In our coculture experiments CSF-1 mRNA expression was strongly up-regulated (>500-fold, Table I). Macrophage CSF-1 protein was also up-regulated in the cocultures (supernatant protein level: macrophage control 250 ± 34 pg/ml vs coculture 866 ± 42 pg/ml, p < 0.05; cell lysate protein levels: macrophage control 450 ± 35 pg/ml vs macrophages in coculture 929 ± 52 pg/ml, p < 0.05; IGROV1 control 71 ± 3 pg/ml vs IGROV1 in coculture 121 ± 5 pg/ml; n = 5, p < 0.05). However, the addition of CSF-1-neutralizing Ab to macrophage:IGROV1 cocultures during the 72-h time period had no effect on SR-A expression on macrophages (data not shown).
In previous publications(14), we demonstrated that the coculture-induced tumor cell invasiveness is TNF-α dependent and that TNF-α mediates this effect via NF-κB activation and MIF and EMMPRIN production in tumor cells (15). We, therefore, investigated whether TNF-α was responsible for induction of SR-A expression. Neutralizing TNF-α Ab failed to block cell surface SR-A expression following coculture. However, the intracellular pool of SR-A protein was significantly reduced after addition of the Ab (mean ± SD double-positive CD68/SR-A macrophages, macrophage control plus control IgG Ab: 12 ± 5%; coculture plus control IgG Ab: 61 ± 17% vs coculture plus anti-TNF-α Ab: 25 ± 5%, p = 0.0002 on coculture vs coculture plus anti-TNF-α Ab; n = 8). Stimulation of macrophages with rTNF-α was not sufficient to induce expression of SR-A and MR (data not shown).
To further understand the role of TNF-α in development of the macrophage phenotype in the cocultures, we used bone marrow derived-macrophages from C57BL/6 wt, TNF-α−/−, TNFR1−/− and TNFR2−/− mice and cocultured these with murine ID8 ovarian cancer cells (Fig. 5). Although ID8 cells produced low levels of TNF-α under control conditions, macrophages derived from TNF-α−/− mice failed to induce SR-A expression after coculture (Fig. 5). SR-A expression could not be rescued by the addition of recombinant human TNF-α, which can only bind to TNFR1 on murine macrophages (33) (Fig. 5). However, the induction of SR-A could be rescued by the addition of recombinant murine TNF-α to ID8:TNF−/− macrophage cocultures (Fig. 5). This suggested that it was TNFR2 dependent. To prove that SR-A induction during coculture is TNFR2 dependent, we cocultured ID8 cells with macrophages from TNFR2−/− mice. These macrophages failed to up-regulate scavenger receptor expression in cocultures, whereas macrophages derived from TNFR1−/− bone marrow did up-regulate SR-A expression in the coculture (Fig. 5).
If the coculture model has in vivo relevance, we reasoned that that TAM in experimental ovarian cancers that had been treated with anti-TNF-α Ab or grown in TNF-α−/− mice might have reduced SR-A expression. We studied this in the ID8 model.
Macrophage SR-A expression is TNF-α dependent in a syngeneic murine model of ovarian cancer
When ID8 ovarian cancer cells are injected i.p. into wt C57BL/6 mice, they form multiple peritoneal tumor deposits and ascites. Macrophage infiltration in the ID8 ascites was significantly lower in mice treated with anti-TNF-α Ab compared to control type mice as assessed by viable F4/80-positive cells (mean ± SD: control 18 ± 4% vs anti-TNF-α Ab treated 12 ± 2%, p = 0.0002; n = 16 in each group). The macrophage infiltrate was also lower when ID8 tumors were grown in TNF-α−/− mice (mean ± SD: wt control 22 ± 6% vs TNF-α−/− 11 ± 3%, p < 0.0001; n = 16 in each group).
There were significantly fewer double-positive F4/80/SR-A viable macrophages in ID8 ascites from anti-TNF-α Ab-treated mice compared to control mice (mean ± SD: control 64 ± 12% vs anti-TNF-α Ab treated 31 ± 9%, p < 0.0001; n = 16 in each group). In addition, macrophages from ID8 tumors grown in TNF-α−/− mice had lower numbers of cells that were double positive for F4/80/SR-A compared to those in ID8 tumors from wt mice (mean ± SD: wt control 55 ± 14% vs TNF-α−/− 24 ± 16%, p < 0.0001; n = 16 in each group).
Discussion
In this article, we demonstrated that cultured ovarian cancer cells promote macrophage differentiation toward a phenotype that resembles the alternatively activated state of TAM. This switch involved a dynamic “chemical conversation” between the tumor cells and macrophages and was not dependent on cell-cell contact. The profile of cytokines, chemokines, and MMP that were up-regulated in the macrophages correlated with mediators already known to be present in the ovarian cancer microenvironment, and in both experimental and human ovarian cancer the cell surface phenotype of TAM (SR-A+ and MR+) was the same as that induced in the cocultures.
A complex network of proinflammatory mediators is involved in inflammation-associated cancers. The links between inflammation and cancer have been confirmed in a number of experimental models, e.g., in liver and colon cancers (34, 35). Macrophages are key cells in chronic inflammation. M1 macrophages are classically activated by microbial products and IFN-γ, whereas M2 cells are induced by anti-inflammatory molecules, such as glucocorticoid hormones, IL-4, IL-13, and IL-10, and promote angiogenesis, tissue remodeling, and repair. In neoplasia, macrophages are recruited into the tumor from the peripheral circulation by chemokines and are usually polarized toward an M2 phenotype, which is characterized by an IL-10high and IL-12low expression pattern (8, 36). However, there is little information on how macrophages attain this M2 phenotype except by in vitro exposure to cytokines. The novelty of this work is that we developed a model system that shows that tumor cells actively switch macrophages to an alternative phenotype via chemical cross-talk. All phenotypic changes seen in macrophages are driven by tumor cell-macrophage interactions.
Chemokines and cytokines influence movement of malignant cells and supporting stromal cells in primary tumors, and spread of ovarian cancer cells. This fine-tuned network influences the composition and phenotype of infiltrating immune cells and contributes to immunosuppressive polarized Th2 response (4).
Interactions between macrophages and ovarian cancer cells are bidirectional; we have already reported that macrophages increase tumor cell invasiveness in a TNF-α- and NF-κB-dependent manner that also involves downstream mediators such as EMPRINN and MIF (15). TNF-α was also involved in the change in macrophage activity in the cocultures but so far we have only found evidence that it is involved in induction of SR-A. Interestingly, this action of TNF-α was via its type 2 p75 receptor, a receptor that is mainly restricted to hemopoietic cells. SR-A is thought to be regulated, in part, by CSF-1. In the cocultures this cytokine was induced in both tumor cells and macrophages but neutralizing Abs to CSF-1 were not able to alter SR-A levels. Neutralizing Abs to TNF-α did reduce CSF-1 levels in the cocultures (data not shown) but only affected intracellular pools of SR-A, not surface expression. However, using macrophages from mice in which TNF-α or TNF receptor genes were deleted, we were able to abrogate SR-A induction in coculture. This may suggest that membrane and not soluble TNF-α is critical for SR-A induction in TAM.
We do not, as of yet, understand the factors that regulate the macrophage MR. MR expression is reported to be IL-4 or IL-13 (37) and IL-10 dependent (38). We, therefore, assessed IL-4 and IL-13 protein expression in the cocultures by ELISA. Macrophages expressed under control conditions negligible IL-4 that did not change upon coculture, whereas IL-13 was expressed in control macrophages and significantly up-regulated upon coculture. Furthermore, neutralizing Abs to TNF-α did not inhibit IL-13 production in the cocultures (data not shown). The same anti-TNF-α Abs failed to modulate IL-10 and IL-12 production in the cocultures.
One function of the innate immune system is to react to pathogens. Macrophages recognize, phagocytose, and kill pathogens via pattern recognition receptors such as SR-A and MR, but both receptors do not recognize microbial structures only (30). Macrophages phagocytose via SR-A dying mammalian cells but also might play a role in maintenance of peripheral tolerance in vivo (39).
Therefore, we believe that different aspects of the in vitro and, by implication, in vivo phenotype of TAM, are controlled by distinct soluble extracellular mediators and, in all probability, distinct intracellular signaling pathways. Because there were correlations between the simple tissue culture model and the state of TAM in vivo, we believe that the coculture system may play a role in understanding these complex interactions, interactions that would be extremely difficult to study in vivo. The coculture system may also be useful in defining mechanisms by which macrophages recognize transformed, but not normal or immortalized cells.
It is increasingly accepted that proinflammatory mediators and cells are involved in inflammation-associated cancers (34, 35). Macrophages are key cells in this chronic inflammation; elegant in vivo experiments and meta-analysis of clinical samples have implicated TAM in tumor promotion (1, 5, 6, 21, 40). The data published in this study raise the possibility that recognition of tumor cells by macrophages, and vice versa, is important in initiating and, possibly, maintaining the cancer cytokine microenvironment, and may explain why there are abundant macrophages in the tumor microenvironment.
Acknowledgments
We thank George Elia for histological processing of the tumor samples; Nick East and Richard Thompson for technical assistance, Derek Davies, Gary Warnes, Ayad Eddaoudi for assistance with the cytometric bead array; and members of the Balkwill laboratory for insightful discussions.
Disclosures
F. R. Balkwill is a consultant for and K. Charles is funded by Centocor, a company that manufactures therapeutic antibodies against cytokines, including TNF-α.
Footnotes
The costs of publication of this article were defrayed in part by the payment of page charges. This article must therefore be hereby marked advertisement in accordance with 18 U.S.C. Section 1734 solely to indicate this fact.
This work was supported by grants from Deutsche Forschungsgemeinschaft Grant HA 3565/1-1 (to T.H.), Cancer Research UK (to T.H., F.B., H.K., N.F.L., and F.R.B.), Cancer Research Committee of St. Bartholomew’s Hospital (to T.H. and J.W.), Association for International Cancer Research (to J.W.), the Medical Research Council (to A.P. and S.G.), Centocor Inc. (to K.C.), and Higher Education Funding Council for England (to F.R.B.).
Abbreviations used in this paper: TAM, tumor-associated macrophage; TNFR1, TNF-α receptor 1; TNFR2, TNF-α receptor 2; IOSE, immortalized ovarian surface epithelial cell; SR-A, class A scavenger receptor; MR, mannose receptor; wt, wild type; h, human; MMP, matrix metalloprotease; VEGF, vascular endothelial growth factor.





