Abstract
Neutrophils are recruited to sites of injury but their timely removal is thought to be vital to prevent exacerbating inflammation. In addition, the recognition of apoptotic cells by cells of the innate immune system provides potent anti-inflammatory and anti-immunogenic signals. In this article, we describe how human neutrophils dying by apoptosis or necrosis release anti-inflammatory peptides, the α-defensins. This family of small cationic peptides effectively inhibits the secretion of multiple proinflammatory cytokines and NO from macrophages, the main innate immune cell found at sites of chronic inflammation. In addition, the systemic administration of necrotic neutrophil supernatants and α-defensins protects mice from a murine model of peritonitis. Hence. their effects may be far-reaching and serve to kill microbes while regulating a potentially tissue-destructive inflammatory response.
Polymorphonuclear cells are the most abundant type of leukocytes, rapidly recruited to sites of inflammation by pathogen-derived stimuli or host-derived danger signals (1). Subsequent activation of polymorphonuclear cells triggers the release of reactive oxygen species and an arsenal of nonspecific cytotoxic compounds. This has led researchers to consider that the safe disposal of neutrophils as early as possible is essential to the maintenance of immunological homeostasis and the resolution of inflammation (2). However, the data that exposes the pathogenic role of late apoptotic and necrotic neutrophils is conflicting. Elastase, which is released by necrotic neutrophils, has been reported to induce resting macrophages to secrete proinflammatory cytokines (3). In contrast, other studies indicate that necrotic neutrophils are phagocytosed by macrophages in a nonphlogistic manner and even down-regulate CD80, CD86, and CD40 on immature dendritic cells (DC),3 rendering them unable to induce T cell proliferation in a MLR (4, 5). In addition, although necrotic cell lines are able to induce DC maturation, necrotic primary cells are not (6, 7, 8), suggesting that necrotic cells cannot by themselves be considered dangerous, without reference to the cell type and the way in which they are exposed to the immune system.
Defensins are widely distributed in nature, being expressed by leukocytes and epithelial cells lining the environmental interface. They are divided into α- and β- defensins based on their tertiary structure, which has a characteristic six-cysteine motif; pairing to form three intramolecular disulfide bonds. α-Defensins are small cationic and amphipathic peptides with a molecular mass of 3–5 kDa (9). Of the six α-defensins, four (human neutrophil peptides (HNP) 1–4) are major constituents of human neutrophils, where they are found stored in the azurophilic (primary) granules. The other two (HD5–6) are expressed in the Paneth cells, which are secretory epithelial cells located in the small intestinal crypts (10). Although rats and rabbits express neutrophil α-defensins, mice do not; but they do express homologs of human HD5–6 in the Paneth cells, known as cryptidins (11). The secretion of α-defensins by epithelial cells is an important component of innate immunity. This is highlighted by mice that lack matrilysin-7 and cannot secrete active cryptidins due to an inability to process Paneth cell α-defensin precursors. Despite the fact that they secrete a number of other antimicrobial molecules, they are more susceptible to an oral challenge with a virulent strain of Salmonella typhimurium and mount a more severe inflammatory response (11). In contrast mice transgenic for the human crypt α-defensin, HD-5, are protected from a normally lethal dose of Salmonella (12). Recently, α- defensins have been reported to block the release of IL-1β from monocytes while having no effect on the release of TNF-α (13). Monocytes, which are found circulating in the blood, mature into macrophages upon egress from the circulation and entry into tissues. Here they interact with activated neutrophils in the absence of serum proteins that are known to inhibit α-defensin function (14, 15). In this article, we describe how α-defensins, released by dying and necrotic neutrophils, exert a powerful anti-inflammatory effect on human macrophages while still maintaining significant antimicrobial activity.
Materials and Methods
Reagents
Purified HNP1–3 was supplied by Hycult Biotechnology. Synthetic HNP1, linearized HNP1, and the D enantiomer of HNP was provided by Prof. W. Lu (Institute of Human Virology, University of Baltimore, Baltimore, MD). Linear (or linearized) HNP1 is an unstructured form of the α- defensin, in which the six cysteine residues have been replaced by alanine. LL37 (LLGDFFRKSKEKIGKEFKRIVQRIKDFLRNLVPRTES; MW 4493.33) was synthesized by N-(9-fluorenyl)methoxycarbonyl chemistry at the Nucleic Acid/Protein Services unit at the University of British Columbia (Vancouver, Canada). R-roscovitine, (R)-2-[[9-(1-methylethyl)-6-[(phenylmethyl)amino]-9H-purin-2-yl]amino]-1-butanol (AG Scientific) was provided by Prof. A. Rossi (University of Edinburgh, Edinburgh, U.K.) and used at 20 μM. Human monocyte-derived macrophages (HMDMs) were stimulated with CD40L (PeproTech) at 3 μg/ml and IFN-γ (PeproTech) at 5 ng/ml. LPS (Sigma-Aldrich) was used at 1 ng/ml.
Mice
Six- to 8-wk-old female C57BL/6 mice (Harlan) were used at 8–9 wk of age and were gender- and age-matched within experiments. All experiments were covered by a Project License granted by the Home Office under the Animal (Scientific Procedures) Act 1986. Locally, this license was approved by the University of Edinburgh Ethical Review Committee.
Generation of apoptotic cells
Human neutrophils were extracted from peripheral blood of healthy volunteers as described previously (16). Blood was separated using dextran sedimentation and a Percoll gradient. This yielded highly pure human neutrophils (>95%). Neutrophils were cultured in serum-free IMDM supplemented with 2 mM l-glutamine, 100 U/ml penicillin, and 100 μg/ml streptomycin for various periods of time and the cell-free medium was collected and ultracentrifuged at 100,000 × g for 1 h before using immediately or storing at −70°C. Necrotic neutrophils were generated from freshly isolated neutrophils by freeze thawing them five times, after which no complete cells remained. Membranes were removed by ultracentrifuging them at 100,000 × g for 1 h. In all in vitro experiments, the number of neutrophils used was 12 × 106/ml. An equivalent number of necrotic neutrophils was generated by freeze thawing per ml of culture medium and the membrane-free supernatant was used at this concentration. Necrotic thymocytes were generated from thymi removed from 6-wk-old syngeneic mice, teased into single-cell suspensions, and freeze thawed five times as described for necrotic neutrophils. Murine neutrophils were isolated from the bone marrow of syngeneic mice by Percoll gradient and then treated in the same way as human neutrophils to obtain necrotic membrane-free cell fractions at the same concentration.
Macrophage culture
Human monocytes were extracted from peripheral blood of healthy volunteers according to Lothian Research Ethics Committee approval (LREC/2001/4/56) using dextran sedimentation and a Percoll gradient as previously described (16). They were cultured in IMDM supplemented with 2 mM l-glutamine, 100 U/ml penicillin, 100 μg/ml streptomycin, and 10% autologous platelet-rich plasma-derived serum. Mature macrophages were used on day 7. Murine bone marrow-derived macrophages were cultured as described previously (4) and used between days 7 and 10 of culture. All assays were done in serum-free medium.
Depletion of α-defensins using R2 or Dynabeads
R2 beads (Applied Biosystems), which bind hydrophobic proteins, were incubated with membrane-free necrotic neutrophil supernatants for 2 h. Beads were then removed following centrifugation and proteins in the supernatant or on the beads was analyzed by NuPage 10% Bis-Tris gel with MES running buffer (Invitrogen). Proteins were visualized by silver stain. The band of peptides at 3–5 kDa was cut out, reduced, alkylated, and digested with trypsin. Chromatographic separation of tryptic digests was conducted by an Ultimate 3000 nanoLC system (Dionex) and peptides were analyzed by an HCT Ultra PTM ion trap instrument (Bruker Daltonics) equipped with a nano-ESI source. Acquired spectra were analyzed using the MASCOT search engine (Matrix Science; D. Compopiano and D. Clarke, University of Edinburgh). To specifically deplete necrotic neutrophils (NN) of α-defensin, Dynabeads M280 coated with sheep anti-mouse IgG (Invitrogen) were bound to mouse anti-human HNP1–3 (Hycult Biotechnology) as per the manufacturer’s instructions. These anti-HNP1–3-coated beads were then used to deplete NN of α-defensin and beads with bound α-defensin were removed with a magnet (BD Pharmingen). Complete and specific depletion of α-defensin was checked both by HNP1–3 ELISA (Hycult Biotechnology) and by protein gel.
Tests of cell viability
Lactate dehydrogenase (LDH) released from the cytoplasm of dying macrophages into the assay medium was used as a measure of membrane integrity and viability. A cell cytotoxicity colorimetric kit was used according to the manufacturer’s instructions (Sigma-Aldrich) The assay utilizes NAD, reduced by the released lactate, which induces a color change in a tetrazolium dye that can be detected using a spectrophotometric method. As a positive control, the protein synthesis inhibitor cycloheximide (10 μg/ml) was used to reduce cell viability after 24 h. The Alamar blue assay is a sensitive nonradioactive means of measuring cell viability based on the addition of a fluorogenic redox indicator to cells in culture. When taken into cells, Alamar blue becomes reduced and turns red. This reduced form of Alamar blue is highly fluorescent. The extent of this conversion, which is a reflection of cell viability, was quantified by its OD. Alamar blue was used at a 1/10 dilution and added to the assay medium for the duration of the culture.
Eating assay
Cells were pretreated with α-defensin or a positive control puromycin known to reduce cell viability (Sigma-Aldrich at 50 μg/ml). After 24 h, the HMDMs were washed and fresh medium containing 1.25 × 106 fluorescent beads (Fluoresbrite Plain YG 3.0-μm microspheres; PolySciences) was added per 0.5 × 106 HMDMs. After 1 h, unbound cells were removed and cells were washed three times with PBS containing magnesium and calcium. Cells were removed from the wells using Trypsin/EDTA, washed again, and resuspended in FACS buffer (PBS plus 2% FCS) before analysis on a FACS machine.
Sterile peritonitis
Peritonitis was induced by i.p. injection of 0.5 ml of 10% thioglycolate. Mice underwent peritoneal lavage at various time points following thioglycolate injection.
Bacterial in vitro and in vivo infections of macrophages
Murine bone marrow-derived macrophages were cultured as described above. Salmonella enterica serovar Typhimurium strain SL3261 (17), which was live or had been heat killed, was added to murine bone marrow-derived macrophages at a multiplicity of infection (MOI) of 10:1 bacteria to macrophages. After 1 h, excess bacteria were washed away and gentamicin at 100 μg/ml was added for 1 h to kill any residual extracellular bacteria. Cells were washed again and HNP1 or medium alone was added for various time points, after which supernatants were collected for cytokine estimation before lysing the macrophages with 1% Triton X-100 for 15 min. Lysed cells containing live bacteria were collected and plated onto agar and incubated for 18 h, after which colonies were counted. In a similar way Pseudomonas aeruginosa PA01 was added to HMDMs at a MOI of 10. After 4 h, supernatants were collected before lysing the cells with 0.1% Triton X-100 and the number of live colonies were counted after a further 18 h of culture.
ELISA
Supernatants collected after specified culture periods were analyzed for production of cytokines by a sandwich ELISA according to the manufacturer’s instruction (R&D Systems). HNP1–3 was measured using an HNP1–3 ELISA according to the manufacturer’s instructions (Hycult Biotechnology). All experiments were performed in triplicate.
Statistics
Data are expressed, when appropriate, as mean and SEM. Significance was assessed using unpaired t tests and p < 0.05 were considered significant.
Results
Apoptotic neutrophils do not require contact to inhibit inflammatory macrophages
Our interest in a soluble factor released by dying human neutrophils was initiated by the observation that coculture of apoptotic neutrophils separated from activated HMDMs by Transwells led to the inhibition of proinflammatory cytokine secretion (Fig. 1, a and b). TGF-β is thought to play a pivotal role in the inhibition of HMDM TNF-α secretion by apoptotic neutrophils (18). However, the addition of blocking anti-TGF-β to apoptotic neutrophils in contact with LPS-stimulated HMDMs had only a moderate inhibitory effect but no effect on CD40L/IFN-γ (CI)-stimulated HMDMs. Apoptotic cells generate apoptotic bodies (19), which may be able to pass through the pores of a Transwell. To control for this, we ultracentrifuged supernatants derived from neutrophil cultures to remove apoptotic bodies and all membrane constituents. The active inhibitory factor contained within this neutrophil-conditioned medium (NCM) was released by dying neutrophils in a time-dependent manner. It was able to significantly inhibit the secretion of TNF-α from macrophages stimulated by both LPS and CI by 4 h after culture, when neutrophils are beginning to undergo apoptosis (Fig. 1, c and d). TGF-β measured in supernatants from CI- and LPS-stimulated HMDMs was not significantly raised while levels of IL-1β, IL-6, IL-8, IL-10, and NO were all decreased (data not shown).
Neutrophils secrete a soluble anti-inflammatory factor. a and b, HMDMs were stimulated with either LPS or CI along with added apoptotic neutrophils (LPSN or CIN) for 18 h before harvesting culture supernatants for assay of TNF-α by ELISA. In triplicate wells, anti-TGF-β was added to assess the role of TGF-β in mediating the immunosuppressive effect of apoptotic neutrophils (LPSN(anti-TGFβ) or CIN(anti-TGFβ)). In addition, apoptotic neutrophils were separated from activated HMDMs by a Transwell (LPS(N) or CI(N)) for the duration of the culture period. Macrophages alone (M) or unstimulated macrophages cultured with apoptotic neutrophils (MN) did not secrete TNF-α. c and d, Neutrophils were cultured for up to 24 h, harvested at set time points, and ultracentrifuged to remove cell membranes and apoptotic bodies. This NCM was added (as 25% final volume) to LPS- or CI-stimulated macrophages. After 18 h of culture HMDM culture supernatants were harvested and assayed for TNF-α by ELISA. Representative of 10 experiments performed with different human donors. Error bars represent SEM and significance of ****, p ≤ 0.0002; **, p ≤ 0.002; and *, p ≤ 0.02.
Neutrophils secrete a soluble anti-inflammatory factor. a and b, HMDMs were stimulated with either LPS or CI along with added apoptotic neutrophils (LPSN or CIN) for 18 h before harvesting culture supernatants for assay of TNF-α by ELISA. In triplicate wells, anti-TGF-β was added to assess the role of TGF-β in mediating the immunosuppressive effect of apoptotic neutrophils (LPSN(anti-TGFβ) or CIN(anti-TGFβ)). In addition, apoptotic neutrophils were separated from activated HMDMs by a Transwell (LPS(N) or CI(N)) for the duration of the culture period. Macrophages alone (M) or unstimulated macrophages cultured with apoptotic neutrophils (MN) did not secrete TNF-α. c and d, Neutrophils were cultured for up to 24 h, harvested at set time points, and ultracentrifuged to remove cell membranes and apoptotic bodies. This NCM was added (as 25% final volume) to LPS- or CI-stimulated macrophages. After 18 h of culture HMDM culture supernatants were harvested and assayed for TNF-α by ELISA. Representative of 10 experiments performed with different human donors. Error bars represent SEM and significance of ****, p ≤ 0.0002; **, p ≤ 0.002; and *, p ≤ 0.02.
To ask whether neutrophil apoptosis augmented the release of the soluble factor, we cultured neutrophils in the presence of R-roscovitine, which is known to induce neutrophil apoptosis (20). Following 6 h of culture, the percentage of neutrophils positive for annexin V increased from 14 to 56.4% (Fig. 2,a). R-roscovitine did not itself inhibit TNF-α secretion from LPS-stimulated HMDMs (Fig. 2,b). However, culture supernatants from R-roscovitine-treated neutrophils inhibited proinflammatory cytokine secretion significantly more than untreated NCM (Fig. 2, b and c). In contrast, if apoptosis was inhibited (by culturing neutrophils at 4°C overnight) (Fig. 2,d), the ability of the NCM was lacking in anti-inflammatory activity. If the same neutrophils were then allowed to undergo apoptosis for 6 h by culturing at room temperature, the inhibitory factor was released into the NCM (Fig. 2 e).
Neutrophils release an active anti-inflammatory factor as they become apoptotic. a, i and ii, FACS analysis of neutrophils cultured in 20 μM R-roscovitine (ROSCO) for 6 h and stained with annexin V (Ann V)/propidium iodide (PI) to detect apoptotic and necrotic cells, respectively. NCM from neutrophils cultured with or without R-roscovitine for 6 h was cocultured with either CI (b)- or LPS (c)-stimulated macrophages for 18 h, after which macrophage culture supernatants were collected and tested for TNF-α content by ELISA. d, FACS analysis of neutrophils stained with annexin V/propidium iodide in which apoptosis was inhibited by culturing them at 4°C overnight (NCM 4°C) and then allowed to undergo apoptosis for 6 h by culturing at 37°C (NCM 4°C + 6 h). Analysis of the ability of NCM from these three neutrophil populations to inhibit LPS-activated HMDM cytokine secretion was assessed by ELISA following an 18-h incubation with LPS- stimulated macrophages (e). Data representative of three separate experiments with different donors. Error bars, SEM and **, p < 0.02.
Neutrophils release an active anti-inflammatory factor as they become apoptotic. a, i and ii, FACS analysis of neutrophils cultured in 20 μM R-roscovitine (ROSCO) for 6 h and stained with annexin V (Ann V)/propidium iodide (PI) to detect apoptotic and necrotic cells, respectively. NCM from neutrophils cultured with or without R-roscovitine for 6 h was cocultured with either CI (b)- or LPS (c)-stimulated macrophages for 18 h, after which macrophage culture supernatants were collected and tested for TNF-α content by ELISA. d, FACS analysis of neutrophils stained with annexin V/propidium iodide in which apoptosis was inhibited by culturing them at 4°C overnight (NCM 4°C) and then allowed to undergo apoptosis for 6 h by culturing at 37°C (NCM 4°C + 6 h). Analysis of the ability of NCM from these three neutrophil populations to inhibit LPS-activated HMDM cytokine secretion was assessed by ELISA following an 18-h incubation with LPS- stimulated macrophages (e). Data representative of three separate experiments with different donors. Error bars, SEM and **, p < 0.02.
Necrotic neutrophils are also anti-inflammatory
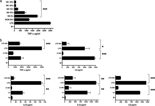
We wondered whether primary or secondary necrotic neutrophils would also release the active immunosuppressive factor. To generate necrotic neutrophils, we freeze thawed fresh neutrophils five times, after which >90% of the neutrophils had lysed (data not shown). These lysed cells were then ultracentrifuged to remove membranous material and the remaining NN-conditioned medium was added to LPS stimulated macrophages. Titration of the NN revealed a dose- dependent inhibition of TNF-α secretion by the activated macrophages, which was even more effective than using NCM at the same dilution (Fig. 3,a). The TNF-α ELISA was able to detect both mature and precursor TNF-α. In addition, TNF-α-converting enzyme levels were measured and found to be unchanged (data not shown). Multicytokine analysis confirmed that NN was also able to inhibit the production of cytokines including IL-6, IL-1β, IL-8, and IL-1 (Fig. 3,b). In addition, NN also inhibited the generation of NO (Fig. 4 c). The concentration of TGF-β was either decreased or similar to stimulated cells (data not shown). Identical results were obtained using NN prepared from secondarily NN that had previously undergone 24 h of culture (data not shown).
NN are anti-inflammatory. a, Fresh neutrophils were freeze thawed and then ultracentrifuged to generate membrane-free NN supernatants. NN was titrated into cultures containing LPS-activated HMDMs. This was compared with the ability of NCM at a final v/v of 25% released from apoptotic neutrophils to inhibit TNF-α secretion. TNF-α in the supernatants collected from these stimulated macrophages (after 18 h of culture) was quantified by ELISA. b, Multicytokine analysis of these supernatants to show that NN inhibited the secretion of a wide range of proinflammatory cytokines as well as IL-10 by activated macrophages stimulated with LPS or CI. ***, p ≤ 0.0002; **, p ≤ 0.003; and *, p ≤ 0.03; error bars, SEM. Experiments representative of one from five using separate donors.
NN are anti-inflammatory. a, Fresh neutrophils were freeze thawed and then ultracentrifuged to generate membrane-free NN supernatants. NN was titrated into cultures containing LPS-activated HMDMs. This was compared with the ability of NCM at a final v/v of 25% released from apoptotic neutrophils to inhibit TNF-α secretion. TNF-α in the supernatants collected from these stimulated macrophages (after 18 h of culture) was quantified by ELISA. b, Multicytokine analysis of these supernatants to show that NN inhibited the secretion of a wide range of proinflammatory cytokines as well as IL-10 by activated macrophages stimulated with LPS or CI. ***, p ≤ 0.0002; **, p ≤ 0.003; and *, p ≤ 0.03; error bars, SEM. Experiments representative of one from five using separate donors.
NN but not other necrotic cells are anti-inflammatory. Apoptotic neutrophils (N), NN supernatants, necrotic thymocyte supernatants (NT), and necrotic supernatants from the tumor cell line Mutu (NM) were added to either LPS (a)- or CI (b)-stimulated macrophages and culture supernatants collected 18 h later were analyzed by ELISA for TNF-α. Murine bone marrow-derived macrophages were also stimulated with either LPS (c) or CI (d) with added NN or NT and culture supernatants were tested for NO by the Griess reaction. ***, p ≤ 0.0001; **, p ≤ 0.002; and *, p ≤ 0.02; error bars, SEM.
NN but not other necrotic cells are anti-inflammatory. Apoptotic neutrophils (N), NN supernatants, necrotic thymocyte supernatants (NT), and necrotic supernatants from the tumor cell line Mutu (NM) were added to either LPS (a)- or CI (b)-stimulated macrophages and culture supernatants collected 18 h later were analyzed by ELISA for TNF-α. Murine bone marrow-derived macrophages were also stimulated with either LPS (c) or CI (d) with added NN or NT and culture supernatants were tested for NO by the Griess reaction. ***, p ≤ 0.0001; **, p ≤ 0.002; and *, p ≤ 0.02; error bars, SEM.
NN but not other necrotic cells are anti-inflammatory
Necrotic cells are generally considered to pose a danger to the immune system, resulting in autoantibody generation and a breakdown in tolerance to self with subsequent autoimmunity (21, 22, 23). We were interested to know whether NN were unique in their ability to release a soluble anti-inflammatory factor or whether this could be generalized to other primary cells or tumor cell lines. The anti-inflammatory activity of NN was compared with supernatants from necrotic murine thymocytes (NT) and from the necrotic human tumor cell line Mutu (NM). Although necrotic thymocyte supernatants had a limited ability to suppress TNF-α secretion from LPS-stimulated HMDMs, necrotic tumor cells had none (Fig. 4,a) and both necrotic thymocytes and tumor cells were proinflammatory to CI-stimulated HMDMs (Fig. 4,b). In contrast, NN was markedly anti-inflammatory, inhibiting both TNF-α and NO generation (Fig. 4, c and d). This indicates that compared with the cells tested, the release of a soluble anti-inflammatory factor is specific to neutrophils.
α-defensins are the active anti-inflammatory factor released by apoptotic/necrotic neutrophils
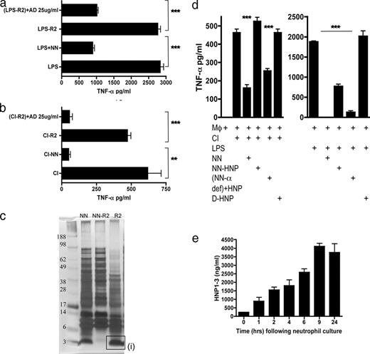
To delineate further the active immunosuppressive factor, we tested the NN that had been depleted of hydrophobic proteins using R2 beads and found that depleted NN now lacked the ability to inhibit LPS (Fig. 5,a)- or CI (Fig. 5,b)-stimulated HMDM release of TNF-α. The R2 beads had partially removed a range of proteins from the NN, but completely removed a band of proteins between 3 and 5 kDa in size (Fig. 5,c). This band was digested and sequenced by tandem mass spectrometry and found to be the antimicrobial peptide α-defensins (data not shown). When purified α-defensins were added back to the R2-depleted NN, the immunosuppressive activity of the NN was restored, indicating that one of the active inhibitory factors released by and contained within the neutrophils was α-defensins. However, R2 beads removed a range of proteins from the NN and to ensure specificity, α-defensins were depleted from NN using anti-human HNP1–3 bound to Dynabeads. The complete removal of α-defensins was confirmed with an HNP1–3 ELISA while the specificity of the Ab-bound beads was confirmed by protein gel analysis (data not shown). When α-defensins were specifically depleted from the NN the ability of NN to inhibit TNF-α production by CI-stimulated HMDMs was completely lost (Fig. 5,di), but was regained upon addition of HNP1. However, NN was still able to significantly inhibit TNF-α production by HMDMs stimulated with LPS (Fig. 5 dii) because the NN retained LL37, which is known to bind to LPS and inhibit its proinflammatory potential (24). When HNP1 was added back though the full inhibitory capacity of the NN was restored.
α-Defensins are one of the active anti-inflammatory factors released by apoptotic/necrotic neutrophils. LPS (a)- or CI (b)-stimulated HMDMs were cultured with NN, NN depleted of hydrophobic molecules by R2 beads (NN-R2), and NN-R2 where α-defensins were added back at 25 μg/ml ((NN-R2) + AD). Culture supernatants were collected after 18 h of culture and tested for TNF-α secretion by ELISA. c, A protein gel of NN indicated the large number of proteins released by NN. NN were depleted of hydrophobic proteins by R2 beads (NN-R2) and the proteins bound to the R2 beads (R2) were identified. R2 beads completely depleted a large band of small proteins between 3 and 5 kDa. This band was digested and sequenced by HPLC and identified as the antimicrobial peptides, α-defensins. d, The actual release of α-defensins over 24 h by cultured neutrophils undergoing apoptosis was quantified by HNP1–3 ELISA. e, To ensure that the R2 beads had not depleted other anti-inflammatory factors, α-defensins in NN were specifically depleted using anti-HNP Abs bound to Dynabeads. HMDMs were then stimulated with CI or LPS along with added NN depleted of α-defensins (NN-α def) or depleted NN where HNP1–3 has been added back at 25 μg/ml (NN-α def) + HNP. As an additional control, HMDMs were stimulated with CI or LPS in the presence of the D-enantiomer of HNP1–3, which lacks anti-inflammatory activity and is protease resistant. ***, p ≤ 0.0001 and **, p ≤ 0.04; error bars, SEM.
α-Defensins are one of the active anti-inflammatory factors released by apoptotic/necrotic neutrophils. LPS (a)- or CI (b)-stimulated HMDMs were cultured with NN, NN depleted of hydrophobic molecules by R2 beads (NN-R2), and NN-R2 where α-defensins were added back at 25 μg/ml ((NN-R2) + AD). Culture supernatants were collected after 18 h of culture and tested for TNF-α secretion by ELISA. c, A protein gel of NN indicated the large number of proteins released by NN. NN were depleted of hydrophobic proteins by R2 beads (NN-R2) and the proteins bound to the R2 beads (R2) were identified. R2 beads completely depleted a large band of small proteins between 3 and 5 kDa. This band was digested and sequenced by HPLC and identified as the antimicrobial peptides, α-defensins. d, The actual release of α-defensins over 24 h by cultured neutrophils undergoing apoptosis was quantified by HNP1–3 ELISA. e, To ensure that the R2 beads had not depleted other anti-inflammatory factors, α-defensins in NN were specifically depleted using anti-HNP Abs bound to Dynabeads. HMDMs were then stimulated with CI or LPS along with added NN depleted of α-defensins (NN-α def) or depleted NN where HNP1–3 has been added back at 25 μg/ml (NN-α def) + HNP. As an additional control, HMDMs were stimulated with CI or LPS in the presence of the D-enantiomer of HNP1–3, which lacks anti-inflammatory activity and is protease resistant. ***, p ≤ 0.0001 and **, p ≤ 0.04; error bars, SEM.
α-Defensins exist as four types in human neutrophils, HNP1–4. HNP1–3 constitute >5% of the total cellular protein in human neutrophils and 99% of the total defensin content of neutrophils with traces of HNP4. We measured HNP1–3 released by neutrophils undergoing apoptosis in culture and found that the concentration of HNP1–3 increased progressively with time, reaching a peak by 9 h, suggesting that the release of α-defensins is associated with ongoing neutrophil apoptosis (Fig. 5 e). The level of the α-defensins in NN supernatants was consistently higher at between 8 and 15 ± 0.45 μg/ml, depending on the human donor. We also assessed the concentration of HNP1–3 in the synovial fluid of 12 patients suffering with a flare of rheumatoid arthritis undergoing arthrocentesis for an acutely swollen knee, which was found to range between 3 and 25 μg/ml with an average of 12.4 μg/ml, indicating that the concentration reached in tissues is not dissimilar to that tested in our assays.
α-Defensins do not kill macrophages
A number of reports have described how α-defensins are able to kill eukaryotic cells (reviewed in Ref. 25). In contrast, L929 cells, a murine fibroblast cell line, is resistant to killing by α-defensins (26). We asked whether α-defensins decreased the cytokine production of macrophages through a delayed effect on cell viability. We found that α-defensin (25 μg/ml) pretreatment for 1 h before stimulating HMDMs with LPS inhibited the ability of macrophages to generate TNF-α, but 20 h following the removal of α-defensins they were able to secrete equivalent amounts of TNF-α when compared with untreated control macrophages (Fig. 6,ai). In addition, HMDMs cultured in the presence of α-defensin for 24 h were more refractory to stimulation with LPS and only fully recovered their ability to secrete TNF-α after 72 h (Fig. 6,aii). However, the fact that they do completely recover indicates that α-defensin-treated macrophages (which do not proliferate in culture) are still viable and able to respond to LPS as well as control cells after a period of time. In addition, we performed LDH assays to assess the viability of macrophages after α- defensin treatment. LDH, which is released as cells die, was not significantly elevated when compared with both resting and CI-stimulated HMDMs (Fig. 6,b) after 24 h of culture with α-defensins. We used an additional test of cell viability, the Alamar blue assay, which relies on detecting the reduced form of Alamar blue generated by reductase enzymes present in viable cells. When cells were cultured in the presence of the cytotoxic agent puromycin for 24 h and then stimulated with LPS, a definite decrease in the reduction of Alamar blue is seen secondary to a reduction in cell viability. In contrast, no change in reductive capacity is seen in HMDMs pretreated with α- defensin (25 μg/ml) for the same length of time, indicating that viability was maintained (Fig. 6,c). Finally, we assessed the other main function of HMDMs, their ability to phagocytose (beads) following pretreatment for 24 h with either α-defensin or puromycin. In comparison to control untreated HMDMs, puromycin-treated HMDMs showed a reduction in the ability to phagocytose fluorescent beads, but HMDMs pretreated with α- defensins had a significantly augmented phagocytic capacity when compared with untreated macrophages, suggesting that α- defensins had functionally altered the macrophage to a proresolution, prophagocytic phenotype (Fig. 6 d).
α-Defensins do not kill macrophages and actually enhance their phagocytic capacity. a, HMDMs were pretreated with HNP1–3 for 1 h (i) and then allowed to rest for 1 (+/1 h), 5 (+/5 h), or 20 h (+/20 h) before stimulating them with LPS for a further 18 h, after which supernatants were collected and tested for TNF-α by ELISA. ii, The same as i but HMDMs were pretreated with HNP1–3 for 24 h and then rested for 24 (+/24 h), 48 (+/48 h), or 72 h (+/72 h) before stimulating with LPS. Control HMDMs were pretreated with vehicle alone for the same time period. b, LDH levels were measured from supernatants taken from HMDMs stimulated with CI, HNP1–3 (HNP), or cycloheximide (Cyclo) for 18 h. c, HMDMs were pretreated with HNP1–3 or puromycin for 24 h before stimulating with LPS for a further 18 h. Alamar blue was used to determine the presence of reductive enzymes seen in viable cells. d, Histograms of HMDMs that were treated with vehicle (i), HNP1–3 (ii), or puromycin (iii) for 24 h before adding fluorescent beads for 1 h. Cells were washed, lifted from the cell culture plates, and the degree of eating was quantified by FACS. Hatched lines represent unstained HMDMs. *, p ≤ 0.01; error bars, SEM.
α-Defensins do not kill macrophages and actually enhance their phagocytic capacity. a, HMDMs were pretreated with HNP1–3 for 1 h (i) and then allowed to rest for 1 (+/1 h), 5 (+/5 h), or 20 h (+/20 h) before stimulating them with LPS for a further 18 h, after which supernatants were collected and tested for TNF-α by ELISA. ii, The same as i but HMDMs were pretreated with HNP1–3 for 24 h and then rested for 24 (+/24 h), 48 (+/48 h), or 72 h (+/72 h) before stimulating with LPS. Control HMDMs were pretreated with vehicle alone for the same time period. b, LDH levels were measured from supernatants taken from HMDMs stimulated with CI, HNP1–3 (HNP), or cycloheximide (Cyclo) for 18 h. c, HMDMs were pretreated with HNP1–3 or puromycin for 24 h before stimulating with LPS for a further 18 h. Alamar blue was used to determine the presence of reductive enzymes seen in viable cells. d, Histograms of HMDMs that were treated with vehicle (i), HNP1–3 (ii), or puromycin (iii) for 24 h before adding fluorescent beads for 1 h. Cells were washed, lifted from the cell culture plates, and the degree of eating was quantified by FACS. Hatched lines represent unstained HMDMs. *, p ≤ 0.01; error bars, SEM.
α-Defensins inhibit the proinflammatory cytokine production by macrophages in the presence of both live and dead whole bacteria
We went on to ask whether α-defensins were able to inhibit macrophage proinflammatory function and still inhibit the growth of bacteria. We first looked at the response of HMDMs to infection with the human opportunistic pathogen P. aeruginosa PA01. HMDMs infected with live bacteria (Fig. 7,ai) at a MOI of 10 and treated with α-defensins or with an equivalent number of dead whole bacteria (Fig. 7,aii) also showed an inhibited secretion of TNF-α, IL-8, IL-6, and IL-1β. Despite the reduced proinflammatory cytokine secretion, bacterial counts were not increased when compared with control-infected HMDMs (Fig. 7,b). Hence, α-defensin treatment inhibits an excessive proinflammatory cytokine response from the HMDMs despite the presence of both live and dead P. aeruginosa PA01, but this does not subsequently allow for excessive pathogen replication. We went on to ask whether α- defensins could affect a murine model of infection. We used the murine pathogenic S. enterica serovar Typhimurium strain SL3261 to infect mice and sacrificed them on day 7 at the height of infection (Fig. 7,c). We found that the administration of NN had a significant effect on reducing bacterial counts in the spleen (Fig. 7,ci) and also reduced TNF-α in the serum (Fig. 7 cii).
α-Defensins can still inhibit proinflammatory cytokine secretion by HMDMs despite infection with whole bacteria. a, HMDMs were cocultured with dead P. aeruginosa PA01 for 24 h (i) or live bacteria (at a MOI of 10) for 4 h (ii), after which culture supernatants were collected and cytokine secretion was quantitated by ELISA. b, For the live bacterial experiment, HMDMs were lysed after 4 h and bacteria were cultured for a further 18 h on agar before counting the number of live colonies. c, Mice were injected with 106 of live S. enterica serovar Typhimurium and PBS or NN was administered on days 0, 1, 2, 4, and 6. Mice were sacrificed on day 7 and TNF-α was measured in the serum (i). In addition, the number of live bacteria retrieved from lysed splenocytes after an overnight culture was calculated following an additional 18 h of culture on agar (ii). ***, p ≤ 0.0004; **, p ≤ 0.003; and *, p ≤ 0.02; error bars, SEM.
α-Defensins can still inhibit proinflammatory cytokine secretion by HMDMs despite infection with whole bacteria. a, HMDMs were cocultured with dead P. aeruginosa PA01 for 24 h (i) or live bacteria (at a MOI of 10) for 4 h (ii), after which culture supernatants were collected and cytokine secretion was quantitated by ELISA. b, For the live bacterial experiment, HMDMs were lysed after 4 h and bacteria were cultured for a further 18 h on agar before counting the number of live colonies. c, Mice were injected with 106 of live S. enterica serovar Typhimurium and PBS or NN was administered on days 0, 1, 2, 4, and 6. Mice were sacrificed on day 7 and TNF-α was measured in the serum (i). In addition, the number of live bacteria retrieved from lysed splenocytes after an overnight culture was calculated following an additional 18 h of culture on agar (ii). ***, p ≤ 0.0004; **, p ≤ 0.003; and *, p ≤ 0.02; error bars, SEM.
α-Defensins but not LL37 inhibit both T cell-mediated and LPS-mediated activation of macrophages
Neutrophils contain within the secondary granules LL37, an antimicrobial peptide of comparable electrophoretic mobility to α-defensins. LL37 is known to bind LPS and inhibit LPS-mediated activation of macrophages (24, 27). To test the possibility that one of the inhibitory factors contained within the NN was LL37, we titrated LL37 into both LPS (Fig. 8,a)- and CI (Fig. 8,b)-stimulated HMDMs and compared this with the ability of apoptotic neutrophils or NN to inhibit TNF-α secretion. Whereas LL37 was able to inhibit TNF-α secretion from LPS-activated HMDMs, it behaved as a proinflammatory peptide to CI-stimulated HMDMs. This indicates that LL37 is not the active factor that inhibits both CI- and LPS-stimulated macrophages. We titrated purified HNP1–3 into LPS (Fig. 8,c)- or CI (Fig. 8,d)-stimulated HMDMs and found that this peptide preparation was able to significantly inhibit proinflammatory cytokine secretion by activated HMDMs. Because HNP1 constitutes the major α-defensin in the primary granules of neutrophils (25), we used synthetically derived HNP1, finding similar levels of immunosuppressive activity (Fig. 8,e). HNP2 and HNP3 were also able to significantly inhibit TNF-α secretion by LPS- or CI-stimulated HMDMs (data not shown). The requirement for structural integrity of HNP1 was examined by comparing the ability of linearized α-defensin to inhibit TNF-α secretion from CI HMDMs; this confirmed that the three-dimensional structure of HNP1 was essential for anti-inflammatory activity, which was completely lost when the peptide was linearized (Fig. 8 f).
α-Defensins but not cathelicidins inhibit both T cell-mediated and LPS-mediated activation of macrophages. HMDMs were stimulated with either LPS (a) or CI (b) and apoptotic neutrophils (N), NN supernatants, or LL37 at the indicated doses. In separate experiments, HNP1–3 (c and d) or purified HNP1 was titrated into CI- or LPS-activated HMDMs. The anti-inflammatory potential of synthetically derived HNP1 that had been linearized was compared with α-defensins using CI-stimulated HMDMs. Culture supernatants were harvested after 18 h and tested for TNF-α secretion by ELISA. ***, p ≤ 0.0001; **, p ≤ 0.001l; and *, p ≤ 0.01; error bars, SEM when compared with HMDMs treated with stimulus alone.
α-Defensins but not cathelicidins inhibit both T cell-mediated and LPS-mediated activation of macrophages. HMDMs were stimulated with either LPS (a) or CI (b) and apoptotic neutrophils (N), NN supernatants, or LL37 at the indicated doses. In separate experiments, HNP1–3 (c and d) or purified HNP1 was titrated into CI- or LPS-activated HMDMs. The anti-inflammatory potential of synthetically derived HNP1 that had been linearized was compared with α-defensins using CI-stimulated HMDMs. Culture supernatants were harvested after 18 h and tested for TNF-α secretion by ELISA. ***, p ≤ 0.0001; **, p ≤ 0.001l; and *, p ≤ 0.01; error bars, SEM when compared with HMDMs treated with stimulus alone.
α-Defensins do not affect the release of proinflammatory cytokines from macrophages
We asked whether α-defensins elicited their anti-inflammatory properties via a direct effect on cell membranes, preventing the release of cytokines contained within secretory vesicles of HMDMs. To address this, we stimulated mature HMDMs with CI with or without HNP1–3. At specified time points, culture supernatants were collected and analyzed for TNF-α protein by ELISA. TNF-α levels climbed steadily after stimulation in control wells, reaching a peak after 8 h. However, in stimulated and HNP1–3-treated wells, TNF-α appeared to plateau soon after 3 h and remained low for the duration of the experiment (Fig. 9,a). To ask whether the TNF-α may be prevented from leaving the cells, macrophages were lysed at 4 h after stimulation. The concentration of cytokines contained within the macrophage (Fig. 9,bi) and secreted into the culture medium was then compared by ELISA (Fig. 9,bii). No significant differences were seen in the ratio of secreted to retained TNF-α in either LPS- or CI-stimulated HMDMs treated with α-defensins, suggesting that TNF-α was not being sequestered within the macrophage. The low levels of NO found after α-defensin treatment would also be in keeping with our data as this is not stored in secretory vesicles (Fig. 4, c and d).
α-Defensins do not inhibit the exocytosis of TNF-α. a, HMDMs were stimulated with CI either alone or in the presence of HNP1–3 (25 μg/ml) for the indicated times. TNF-α protein released by HMDMs was measured by ELISA. b, HMDMs were stimulated with LPS or CI and treated with HNP1–3 (25 μg/ml) or vehicle alone. At 4 h after stimulation, culture supernatants (i) were harvested before lysis of the HMDMs to reveal TNF-α retained within the cells (ii). ***, p ≤ 0.001; error bars, SEM.
α-Defensins do not inhibit the exocytosis of TNF-α. a, HMDMs were stimulated with CI either alone or in the presence of HNP1–3 (25 μg/ml) for the indicated times. TNF-α protein released by HMDMs was measured by ELISA. b, HMDMs were stimulated with LPS or CI and treated with HNP1–3 (25 μg/ml) or vehicle alone. At 4 h after stimulation, culture supernatants (i) were harvested before lysis of the HMDMs to reveal TNF-α retained within the cells (ii). ***, p ≤ 0.001; error bars, SEM.
NN and HNP1 protect mice from experimental inflammation
To assess the local effect of α-defensins on an established inflammatory response in vivo, we used the thioglycolate model of peritonitis and found HNP1 and NN reduced the cellular infiltrate of neutrophils and macrophages (Fig. 10,a). We did not find a significant reduction in the inflammatory cell influx using necrotic mouse neutrophils (prepared in an identical way to human NN and at the same concentration), which lack α-defensins nor did the injection of whole apoptotic cells or LL37 at 5 μg/ml affect the accumulation of inflammatory cells. In separate experiments to test the possibility that the reduced influx of inflammatory cells was secondary to the inhibition of resident peritoneal macrophages, these cells were isolated from the peritoneum of untreated mice, adhered to plastic overnight, and stimulated with CI along with added α-defensins (Fig. 10 b). Resident peritoneal macrophages treated with α-defensin were completely unable to respond to the stimulus and secrete TNF-α. Identical results were obtained following LPS stimulation (data not shown).
a, NN and α- defensins protect mice from experimental inflammation. Sterile peritonitis was induced by injecting thioglycolate along with either PBS, apoptotic cells (ACs), necrotic human neutrophils (NN), LL37, HNP1–3, or mouse NN (mNN). After 4 h, peritoneal lavages were used to isolate inflammatory GR1+F4/80+ macrophages (i) and neutrophils (ii), which were characterized by FACS and compared with cell numbers in control mice with peritonitis given PBS. The experiment is representative of two separate experiments with five mice per group. b, In separate experiments. resting murine peritoneal macrophages were isolated and stimulated in vitro with CI along with α-defensins and supernatants were collected at various time points and tested for TNF-α. ***, p ≤ 0.001 and *, p ≤ 0.01; error bars, SEM.
a, NN and α- defensins protect mice from experimental inflammation. Sterile peritonitis was induced by injecting thioglycolate along with either PBS, apoptotic cells (ACs), necrotic human neutrophils (NN), LL37, HNP1–3, or mouse NN (mNN). After 4 h, peritoneal lavages were used to isolate inflammatory GR1+F4/80+ macrophages (i) and neutrophils (ii), which were characterized by FACS and compared with cell numbers in control mice with peritonitis given PBS. The experiment is representative of two separate experiments with five mice per group. b, In separate experiments. resting murine peritoneal macrophages were isolated and stimulated in vitro with CI along with α-defensins and supernatants were collected at various time points and tested for TNF-α. ***, p ≤ 0.001 and *, p ≤ 0.01; error bars, SEM.
Discussion
It is currently widely believed that macrophages must engulf apoptotic neutrophils before they become necrotic to prevent the release into the tissues of potentially toxic and immunogenic intracellular substances (28). We have now discovered that both apoptotic and necrotic neutrophils elicit a profound anti-inflammatory response in macrophages that does not require cell contact. We have identified the anti-inflammatory mediator they release as α-defensins. The α-defensins inhibit macrophage proinflammatory function driven both by the microbial cell wall constituent LPS and a T cell surrogate stimulus CI. When HMDMs are infected with Pseudomonas, α-defensins effectively prevented the macrophages from inducing an exaggerated proinflammatory cytokine response, while not compromising the ability of macrophages to keep bacterial viability in check. This was mirrored in an in vivo model of infection with the pathogenic S. typhimurium using NN where both bacterial cell counts and serum TNF-α measured at the height of the infection were reduced.
α-defensins are released by neutrophils as early as 4 h after in vitro culture and continue to be released, reaching a peak when neutrophil apoptosis is established. Importantly, the α- defensins are also released from necrotic cells when they disintegrate, explaining the protective effect of NN when injected in vivo in a murine model of inflammation and infection. The finding that human NN (which contain α-defensins) were able to reduce the influx of neutrophils and inflammatory macrophages in a murine model of peritonitis was surprising given that they have been shown to be chemotactic for immature DCs and lymphocytes, although interestingly do not activate them (29). In addition, necrotic human neutrophil supernatants were devoid of membranous products (following ultracentrifugation) but were otherwise replete with preformed enzymes that would be expected to be proinflammatory in their own right (1, 3). In contrast, murine NN, which do not contain α-defensins but are otherwise similar to human neutrophils, did not affect the influx of inflammatory cells into the peritoneum, suggesting that this effect was specific for the presence of the peptide (30). The effect of α-defensins on macrophages may be specific since α-defensin treatment did not inhibit the activation of human neutrophils by TNF-α, as measured by the loss of surface CD62L (L-selectin) and CD11b up-regulation. Myeloperoxidase release from these activated neutrophils and the degranulation of murine peritoneal mast cells was also unaffected (data not shown). One may speculate that the reduced influx of inflammatory cells in the peritoneum may relate to an initial dampening of the inflammatory response of resident macrophages normally seen when the irritant and innate immune stimulus, thioglycolate is administered. This in turn would lead to a reduction in cellular influx of neutrophils and inflammatory macrophages. In support of this, in vitro experiments on resting resident peritoneal macrophages that have been stimulated with α-defensins show that they are completely inhibited from responding to concomitant stimulation with CI and this inhibition may override any chemotactic effect of α-defensin alone.
α-Defensins have recently been shown to inhibit specifically the secretion of IL-1β by monocytes, attesting to their anti-inflammatory role (13). Interestingly, recent reports have linked the absence of intestinal Paneth cell α-defensins to chronic colitis seen both in animal models and in humans with Crohn’s disease (11, 31). Because Crohn’s disease is likely due to an aberrant response to commensal bacteria which normally pose no risk to healthy adults (32, 33, 34), one could speculate that the lack of these α-defensins may deprive these patients not only of an antimicrobial peptide but also of an important anti-inflammatory and immunoregulatory signal in the distal small intestine (13). Indeed, the effect of α-defensins on macrophages, reducing the secretion of multiple proinflammatory cytokines while checking the growth of bacteria, attests to its ability to prevent an excessively proinflammatory macrophage response while not sacrificing its ability to function as an antimicrobial peptide. The mechanism by which α-defensins inhibit such a broad swathe of proinflammatory cytokines and NO is unknown. As an antimicrobial peptide, they induce pores in bacterial membranes but the exact means by which they kill microbes remains a mystery (35). Analysis of treated macrophages used in our assays showed no evidence of macrophage apoptosis following culture with α-defensins. Prolonged treatment for up to 24 h with α-defensins did not result in a delayed decrease in viability as measured by Alamar blue and LDH assays. In addition, macrophages regained the ability to respond to proinflammatory stimuli producing equivalent amounts of TNF-α compared with control-untreated macrophages following a delay that was proportional to the time that they had been initially exposed to α-defensins. Pretreatment with α-defensins led to an increase in phagocytic capacity, which suggests that they do not simply inhibit macrophage function but alter it to a prophagocytic, proresolution phenotype. Time-course studies of secreted TNF-α indicate that released cytokine fails to ever reach control levels following α-defensin treatment but lysates of cells did not contain TNF-α, suggesting that it was not prevented from leaving the cells as Shi et al. (13) have found specifically for IL-1β in monocytes. We would speculate that α-defensins may affect the translation of proinflammatory cytokines through an effect on mRNA stability or alternatively through the inhibition of the proinflammatory transcription factor NF-κB. Future work clearly needs to elucidate the molecular mechanism by which they inhibit the inflammatory phenotype of macrophages and to ask whether this could be useful as a therapeutic option in autoimmune diseases such as rheumatoid arthritis in which the inflammatory macrophage mediates the final assault on normal healthy tissue.
Currently, the prevailing view is that necrotic cells present danger signals to the immune system, e.g., necrotic fibroblasts are found to be immunostimulatory to DCs (36, 37). Thus, it is generally accepted that the presence of necrotic cells, especially neutrophils, is proinflammatory (3, 28). This is despite reports of the inhibitory effect of NN on DC maturation and the ability of macrophages to respond to NN in a nonphlogistic way (4, 38). It seems likely that not all necrotic cells pose a danger. Our data clearly show that necrotic human neutrophils are, in fact, anti-inflammatory and if a macrophage encounters such a cell its ability to secrete proinflammatory cytokines and NO is inhibited, while its ability to phagocytose material is increased. Thus, neutrophil necrosis at sites of inflammation far from driving the process, initiates its resolution.
Tissue resident macrophages are among the first cells to detect microorganisms that have crossed an epithelial barrier. They then recruit large numbers of neutrophils, followed by blood monocytes that differentiate into macrophages upon entry into the affected tissue. Both cell types become activated, phagocytose microorganisms, and, in the case of neutrophils, then undergo apoptosis. The presence of these apoptotic cells then alters the macrophage response, switching it from an inflammatory to a proresolution phenotype (39). If NN were proinflammatory and if the ability of macrophages to phagocytose them was overwhelmed even temporarily, then the inevitable result would be further inflammation. In this scenario, the immune system would be permanently poised on a knife edge, dependent entirely upon the rate at which apoptotic neutrophils were removed. In our model, the finding that necrotic human neutrophils are uniquely anti-inflammatory attests to the importance of avoiding this catastrophic possibility. In fact, during an inflammatory response, the apoptosis of neutrophils (and subsequent interaction with macrophages) is correlated temporally with the resolution of inflammation (40, 41). Physiologically, α- defensins released by dying neutrophils may then exert potent anti-inflammatory effects on macrophages, providing the perfect counterbalance to the arsenal of cytotoxic compounds contained within them. The release of α-defensins means that the proresolution effect of apoptotic/necrotic neutrophils on inflammatory macrophages is not limited to those cells the neutrophil specifically contacts. In conclusion, neutrophils secrete both an antimicrobial and an anti-inflammatory peptide as they die and undergo necrosis, so that even in death they continue to exert an immunomodulatory and antimicrobial phenotype fighting pathogens while preventing an excessive inflammatory response that would place healthy tissue at risk of further damage.
Acknowledgments
We thank Prof. Piero Mastroeni, Prof. Sir John Savill, Prof. Adriano Rossi, and Dr. Simon Brown for helpful suggestions and Dr. Rengi Mathews for the collection of synovial fluid.
Disclosures
The authors have no financial conflict of interest.
Footnotes
The costs of publication of this article were defrayed in part by the payment of page charges. This article must therefore be hereby marked advertisement in accordance with 18 U.S.C. Section 1734 solely to indicate this fact.
This work was supported by grants from the Arthritis Research Council (to M.G. and K.H.), Engineering and Physical Sciences Research Council and Royal Society of Edinburgh (to D.J.Cl. and D.J.Ca.), and The Wellcome Trust (D.J.C.).
Abbreviations used in this paper: DC, dendritic cell; LDH, lactate dehydrogenase; HNP, human neutrophil peptide; HMDM, human monocyte-derived macrophage; NN, necrotic neutrophil; MOI, multiplicity of infection; NCM, neutrophil-conditioned medium; NT, necrotic murine thymocyte.









