Abstract
CD8+ T cells play a significant role in the control of HIV replication, yet the associated qualitative and quantitative factors that determine the outcome of infection remain obscure. In this study, we examined Ag-specific CD8+ TCR repertoires longitudinally in a cohort of HLA-B*2705+ long-term nonprogressors with chronic HIV-1 infection using a combination of molecular clonotype analysis and polychromatic flow cytometry. In each case, CD8+ T cell populations specific for the immunodominant p24 Gag epitope KRWIILGLNK (KK10; residues 263–272) and naturally occurring variants thereof, restricted by HLA-B*2705, were studied at multiple time points; in addition, comparative data were collected for CD8+ T cell populations specific for the CMV pp65 epitope NLVPMVATV (NV9; residues 495–503), restricted by HLA-A*0201. Dominant KK10-specific clonotypes persisted for several years and exhibited greater stability than their contemporaneous NV9-specific counterparts. Furthermore, these dominant KK10-specific clonotypes exhibited cross-reactivity with antigenic variants and expressed significantly higher levels of CD127 (IL-7Rα) and Bcl-2. Of note, we also found evidence that promiscuous TCR α-chain pairing associated with alterations in fine specificity for KK10 variants could contribute to TCR β-chain prevalence. Taken together, these data suggest that an antiapoptotic phenotype and the ability to cross-recognize variant epitopes contribute to clonotype longevity and selection within the peripheral memory T cell pool in the presence of persistent infection with a genetically unstable virus.
Expression of the HLA-B*2705 allele is strongly associated with slower disease progression rates in HIV-infected individuals (1–4). Furthermore, an immunodominant CD8+ T cell response directed toward the conserved p24 Gag epitope KRWIILGLNK (KK10; residues 263–272) appears to contribute substantially to this protective association at a mechanistic level (1). The KK10-specific CD8+ T cell population is generated during the early stages of infection (5, 6) and persists as the immunodominant epitope-specific response until the emergence of immune escape late in disease (1, 7). Importantly, however, the magnitude of this response is not associated with viral load (1).
Mutation of the p24 Gag KK10 epitope in HLA-B*2705+ individuals infected with HIV-1 typically occurs in several ordered steps driven by immune selection pressures. Commonly during early infection, a leucine (L) to methionine (M) substitution occurs at position 6 (L268M); subsequently, an arginine (R) to lysine (K) mutation occurs at position 2 (R264K). Alternative amino acid substitutions at position R264 (G, Q, and T) have also been found at lower frequencies (7–9). This modification of R264, which acts as an anchor residue within the B-pocket of the HLA-B*2705 molecule, commonly occurs late in the disease process and diminishes epitope presentation through a pronounced reduction in peptide binding affinity (1, 7–9). Importantly, phylogenetic analyses of sequential viral mutations demonstrate that R264K and L268M are independent events (7); this lack of association also suggests that the L268M substitution might constitute a prerequisite for the later R264K immune escape mutation (9), generating a CTL escape virus phenotype that can be stably transferred (2, 10) with fitness levels similar to that of wild-type (WT) virus (11). No current evidence exists to suggest that the L268M mutation affects HLA binding; however, this variant may represent an attempt by the virus to escape from TCR recognition (6, 9). Structural analysis of the KK10 peptide bound to HLA-B*2705 indicates that amino acid residue 268 bulges from the binding groove and thus has the potential to interact directly with the TCR (12). Furthermore, alteration of the TCR repertoire has been observed following the emergence of the L268M epitope during early infection (6), and inhibition of target cell lysis by certain KK10-specific CD8+ T cell clones, presumably representing antagonism, has been observed in the presence of this variant (13). These findings provide strong indications that the L268M mutation affects CD8+ T cell recognition.
Recent data indicate that mutational immune escape through loss of CD8+ T cell recognition is facilitated by limited TCR diversity within the recruited population of cognate clonotypes (14–16). Moreover, qualitative aspects of the mobilized CD8+ T cell population are increasingly recognized as important associates of disease outcome (17–19). The purpose of this study was to explore the nature of the CD8+ T cell response in the context of a well-defined and predictable immune escape process, exemplified by a cohort of HLA-B*2705+ long-term nonprogressors (LTNPs) infected with HIV-1. Specifically, we hypothesized that the immunodominant KK10-specific CD8+ T cell repertoire might affect, or be affected by, the L268M mutation and that such interactions might impact upon the course of infection. Molecular analysis of expressed TCR gene products was conducted for CD8+ T cell populations that recognized the WT KK10 epitope (KRWIILGLNK; KRL) and/or the common L268M variant epitope (KRWIIMGLNK; KRM). Patterns of clonotype recruitment were studied longitudinally in conjunction with flow cytometric assessment of cognate Ag-specific CD8+ T cell phenotype and characterization of viral epitope sequences; parallel data were collected for immunodominant CD8+ T cell populations that recognized the CMV pp65 epitope NV9 (NLVPMVATV; residues 495–503) restricted by HLA-A*0201.
Materials and Methods
Sequencing of viral RNA
Plasma isolated from peripheral blood was used for extraction and sequencing of viral RNA as described previously (8). RNA was reverse transcribed using 0.5 μl Superscript III (Invitrogen, Carlsbad, CA) and 0.2 μM primer (5′-CCACATTTCCAACAGCCC-3′). Amplification of p24 gag transcripts was achieved using a nested PCR technique (8). The inner primers (5′-GCACAGCAAGCAGCAGCT-3′ and 5′-GTGCCCTTCTTTGCCACA-3′) and outer primers (5′-CCCTTCAGACAGGATCAG-3′ and 5′-CCACATTTCCAACAGCCC-3′) were used for amplification of cDNA template with Hi-Fidelity Taq DNA polymerase (Invitrogen). Amplified p24 products were separated by gel electrophoresis, purified, and cloned using a TA cloning kit according to the manufacturer’s instructions (Invitrogen). Clonal products were sequenced using the Big Dye terminator v3.1 sequencing kit (Applied Biosystems, Foster City, CA). Consensus KK10 viral epitope sequence was defined as the major sequence for each time point.
Flow cytometric isolation of Ag-specific CD8+ T cells using peptide-MHC class I multimers
Ag-specific CD8+ T cells were isolated contemporaneously using peptide-MHC class I (pMHCI) multimers conjugated to either PE or allophycocyanin, which were generated according to standard protocols (20). Peptides used for multimer synthesis were based on plasma-derived autologous KK10 epitope sequences (Table I) and the CMV pp65-derived NV9 epitope sequence (NLVPMVATV; residues 495–503) (21). Staining of cryopreserved PBMCs with pMHCI multimers was performed as described previously (22). At each time point, responses to both WT (KRL) and variant (KRM) peptide sequences of KRWII(L/M)GLNK were studied using pMHCI multimers with the corresponding peptide loaded into HLA-B*2705 molecules (5). For the purposes of this analysis, the cognate epitope was designated as the major variant present in plasma virus sequence at each time point; the minor variant was entitled alternate. Cells labeled with pMHCI multimers were subsequently stained with the following directly conjugated mAbs: anti–CD3-PerCPCy5.5 and anti–CD8-FITC (BD Biosciences, San Jose, CA). Ag-specific populations were then isolated by flow cytometry using a modified FACSAria (National Institutes of Health, Bethesda, MD) or a FACS Vantage SE (St. Vincent’s Centre for Applied Medical Research, Sydney, Australia) cell sorter (both from BD Immunocytometry Systems, San Jose, CA), depending on the location at which the sorting was performed. Isolation of mRNA was performed using a previously validated protocol (23).
| Patient Features . | KK10 p24 Viral Sequence . | ||||||||||||||||
|---|---|---|---|---|---|---|---|---|---|---|---|---|---|---|---|---|---|
| Identifier . | CCR5 Δ32 . | Tx . | Date (Tx) . | pMHCI % (KK10/NV9) . | CD4 (Cells/μl) . | VL (Copies/ml) . | K . | R . | W . | I . | I . | L . | G . | L . | N . | K . | Freq (%) . |
| LTS5 (A2, 3) (B27, −) | Y | D4T, DDI, NFV | 28.11.96 (15.10.96) | 4.58/1.43 | 578 | 21,000 | – | – | – | – | – | M | – | – | – | – | 66 |
| – | G | – | – | – | – | – | – | – | – | 22 | |||||||
| – | K | – | – | V | I | – | – | – | – | 11 | |||||||
| 13.01.04 | 3.55/0.52 | 683 | 38,900 | – | – | – | – | – | M | – | – | – | – | 98 | |||
| – | – | – | – | – | M | – | – | S | – | 2 | |||||||
| LTS10 (A2, 25) (B27, 62) | N | N | 16.04.98 | 0.82/1.88 | 713 | 500 | – | – | – | – | – | M | – | – | – | – | 100 |
| 13.01.04 | 1.00/1.15 | 546 | 4000 | – | – | – | – | – | M | – | – | – | – | 100 | |||
| LTS12 (A2, 32) (B27, 62) | N | N | 31.07.96 | 4.19/1.51 | 500 | 1800 | – | – | – | – | – | – | – | – | – | – | 100 |
| 20.12.05 | 7.32/0.20 | 462 | 17,254 | – | – | – | – | – | – | – | – | – | – | 43 | |||
| – | – | – | – | – | – | – | – | H | – | 43 | |||||||
| – | – | – | – | – | – | – | – | T | – | 14 | |||||||
| LTS13 (A1, 3) (B8, 27) | Y | N | 09.02.95 | 8.82/NA | 651 | 620 | – | – | – | – | – | M | – | – | – | – | 80 |
| R | – | – | – | – | – | – | – | – | – | 20 | |||||||
| 20.12.99 | 8.24/NA | 464 | 19,900 | – | – | – | – | – | M | – | – | – | – | 75 | |||
| – | – | – | – | – | I | – | – | – | – | 25 | |||||||
| LTS22 (A2, 3) (B27, 51) | N | 3TC, NVP, TFV | 26.01.95 (28.10.98) | 7.50/1.50 | 644 | 73,000 | – | – | – | – | – | M | – | – | – | – | 100 |
| 02.08.02 | 1.84/1.71 | 960 | 50 | – | – | – | – | – | M | – | – | – | – | 75 | |||
| – | G | – | – | – | – | – | – | – | – | 25 | |||||||
| LTS57 (A11, 24) (B27, 35) | Y | N | 28.11.95 | 5.31/NA | 1050 | 1900 | – | – | – | – | – | M | – | – | – | – | 98 |
| – | G | – | – | – | M | – | – | – | – | 2 | |||||||
| 17.02.03 | 5.36/NA | 638 | 2300 | – | – | – | – | – | M | – | – | – | – | 98 | |||
| – | – | – | T | – | M | – | – | – | – | 2 | |||||||
| LTS66 (A2, 3) (B27, −) | N | N | 10.01.96 | 5.50/1.40 | 651 | 52,000 | – | – | – | – | – | – | – | – | – | – | 100 |
| 03.08.99 | 1.65/NA | 315 | 22,100 | – | G | – | – | – | – | – | – | – | – | 93 | |||
| – | G | – | – | – | – | – | – | – | N | 5 | |||||||
| – | G | – | L | – | – | – | – | – | – | 2 | |||||||
| 22.12.03 | 0.28/2.04 | 247 | 75,000 | – | G | – | – | – | – | – | – | – | – | 100 | |||
| LTS115 (A1, 32) (B27, 37) | N | N | 20.08.03 | NA/NA | 630 | 7000 | – | – | – | – | – | – | – | – | – | – | NA |
| 06.02.06 | 3.19/NA | 480 | 15,900 | – | – | – | – | – | M | – | – | – | – | 92 | |||
| – | – | – | – | – | M | R | – | – | – | 4 | |||||||
| – | – | – | – | – | M | – | S | – | – | 4 | |||||||
| Patient Features . | KK10 p24 Viral Sequence . | ||||||||||||||||
|---|---|---|---|---|---|---|---|---|---|---|---|---|---|---|---|---|---|
| Identifier . | CCR5 Δ32 . | Tx . | Date (Tx) . | pMHCI % (KK10/NV9) . | CD4 (Cells/μl) . | VL (Copies/ml) . | K . | R . | W . | I . | I . | L . | G . | L . | N . | K . | Freq (%) . |
| LTS5 (A2, 3) (B27, −) | Y | D4T, DDI, NFV | 28.11.96 (15.10.96) | 4.58/1.43 | 578 | 21,000 | – | – | – | – | – | M | – | – | – | – | 66 |
| – | G | – | – | – | – | – | – | – | – | 22 | |||||||
| – | K | – | – | V | I | – | – | – | – | 11 | |||||||
| 13.01.04 | 3.55/0.52 | 683 | 38,900 | – | – | – | – | – | M | – | – | – | – | 98 | |||
| – | – | – | – | – | M | – | – | S | – | 2 | |||||||
| LTS10 (A2, 25) (B27, 62) | N | N | 16.04.98 | 0.82/1.88 | 713 | 500 | – | – | – | – | – | M | – | – | – | – | 100 |
| 13.01.04 | 1.00/1.15 | 546 | 4000 | – | – | – | – | – | M | – | – | – | – | 100 | |||
| LTS12 (A2, 32) (B27, 62) | N | N | 31.07.96 | 4.19/1.51 | 500 | 1800 | – | – | – | – | – | – | – | – | – | – | 100 |
| 20.12.05 | 7.32/0.20 | 462 | 17,254 | – | – | – | – | – | – | – | – | – | – | 43 | |||
| – | – | – | – | – | – | – | – | H | – | 43 | |||||||
| – | – | – | – | – | – | – | – | T | – | 14 | |||||||
| LTS13 (A1, 3) (B8, 27) | Y | N | 09.02.95 | 8.82/NA | 651 | 620 | – | – | – | – | – | M | – | – | – | – | 80 |
| R | – | – | – | – | – | – | – | – | – | 20 | |||||||
| 20.12.99 | 8.24/NA | 464 | 19,900 | – | – | – | – | – | M | – | – | – | – | 75 | |||
| – | – | – | – | – | I | – | – | – | – | 25 | |||||||
| LTS22 (A2, 3) (B27, 51) | N | 3TC, NVP, TFV | 26.01.95 (28.10.98) | 7.50/1.50 | 644 | 73,000 | – | – | – | – | – | M | – | – | – | – | 100 |
| 02.08.02 | 1.84/1.71 | 960 | 50 | – | – | – | – | – | M | – | – | – | – | 75 | |||
| – | G | – | – | – | – | – | – | – | – | 25 | |||||||
| LTS57 (A11, 24) (B27, 35) | Y | N | 28.11.95 | 5.31/NA | 1050 | 1900 | – | – | – | – | – | M | – | – | – | – | 98 |
| – | G | – | – | – | M | – | – | – | – | 2 | |||||||
| 17.02.03 | 5.36/NA | 638 | 2300 | – | – | – | – | – | M | – | – | – | – | 98 | |||
| – | – | – | T | – | M | – | – | – | – | 2 | |||||||
| LTS66 (A2, 3) (B27, −) | N | N | 10.01.96 | 5.50/1.40 | 651 | 52,000 | – | – | – | – | – | – | – | – | – | – | 100 |
| 03.08.99 | 1.65/NA | 315 | 22,100 | – | G | – | – | – | – | – | – | – | – | 93 | |||
| – | G | – | – | – | – | – | – | – | N | 5 | |||||||
| – | G | – | L | – | – | – | – | – | – | 2 | |||||||
| 22.12.03 | 0.28/2.04 | 247 | 75,000 | – | G | – | – | – | – | – | – | – | – | 100 | |||
| LTS115 (A1, 32) (B27, 37) | N | N | 20.08.03 | NA/NA | 630 | 7000 | – | – | – | – | – | – | – | – | – | – | NA |
| 06.02.06 | 3.19/NA | 480 | 15,900 | – | – | – | – | – | M | – | – | – | – | 92 | |||
| – | – | – | – | – | M | R | – | – | – | 4 | |||||||
| – | – | – | – | – | M | – | S | – | – | 4 | |||||||
LTNPs are identified using a unique LTS code. Parentheses within the patient identifier cell indicate heterozygous (A, B) and homozygous (−) HLA class I genotype.
Tx indicates the highly active antiretroviral therapy regimen in treated patients; VL indicates plasma viral load; pMHCI % indicates the magnitude of Ag-specific CD8+ T cell populations detected using cognate p24 Gag KK10 and CMV pp65 NV9 pMHCI multimers; Freq (%) indicates the percentage of each KK10 epitope sequence in plasma virus; dashed line indicates homology with WT p24 Gag KK10 viral sequence; NA indicates that the analysis was not completed.
D4T, stavudine; DDI, didanosine; N, no; NFV, nelfinavir; NVP, nevirapine; 3TC, lamivudine; TFV, tenofovir; Y, yes.
Molecular clonotype analysis
Unbiased amplification of all expressed TCR gene products within isolated cell populations was achieved using a nonnested template-switch anchored RT-PCR (24) with TRAC-specific (5′-AATAGGCAGACAGACTTGTCACTGGA-3′) or TRBC-specific (5′-TGCTTCTGATGGCTCAAACACAGCGACCT-3′) primers. Products were purified and ligated into a TA cloning vector (Invitrogen), then subcloned by transformation of chemically competent Escherichia coli. Individual resultant colonies (median 75; range 23–94) were amplified by PCR using generic M13 primers and sequenced using the BigDye terminator v3.1 sequencing kit (Applied Biosystems). The frequency of rearranged TRB transcripts was used to identify dominant and subdominant clonotypes, defined on the basis of TCR β-chain amino acid sequence for the purposes of this study.
Phenotypic analysis of Vβ-defined TCR clonotypes
In flow cytometric experiments, dominant CD8+ T cell populations specific for KK10 and NV9 defined by TRB sequence analysis were identified using TCR Vβ-specific mAbs (Beckman Coulter, Fullerton, CA) in conjunction with pMHCI multimers. The TCR Vβ Ab nomenclature of Arden et al. (25) was directly translated from the international ImMunoGeneTics (IMGT) database using web-based alignment of molecular TRB transcripts (http://imgt.cines.fr). Cell-surface differentiation markers were analyzed using an eight-color panel comprising the following directly conjugated mAbs: anti-TCR Vβ-FITC, anti–CD3-PerCPCy5.5, anti–CD8-allophycocyanin–Cy7 and anti–CD28-PECy7 (BD Biosciences), anti–CD27-Qdot655 (Invitrogen), anti–CD45RO-ECD (Beckman Coulter, Brea, CA), and anti–CD127-Pacific Blue (Biolegend, San Diego, CA). Intracellular expression of Bcl-2 and perforin was assessed using specific PE-conjugated mAbs (BD Biosciences). PBMC specimens were thawed, washed, and resuspended at 1 × 106 cells/ml, then labeled with pMHCI multimers at 37°C for 20 min. After washing with PBS containing 0.2% BSA and 0.02% NaN3 (PBA), cells were stained with the surface marker-specific mAbs for 10 min at room temperature. The cells were then washed again in PBA, resuspended in 0.5 ml FACS-Perm2 (BD Biosciences), and incubated for 10 min at room temperature. After a further wash in PBA, the cells were stained for intracellular Bcl-2 or perforin at room temperature for 30 min, washed again in PBA, and resuspended in 200 μl PBS containing 1% paraformaldehyde. Analysis was conducted using an LSRII flow cytometer with BD FACSDiva software version 4.1.2 (BD Biosciences). Software compensation for the eight-color panel was performed by adjusting fluorescence through subtraction to obtain equivalent median positive values for single color populations. A minimum of 50,000 lymphocyte-gated events was acquired for each test sample.
Statistics
Simpson’s diversity index (DS) and Morisita-Horn similarity index (CMH), which account for both the variety of TCR clonotypes and their clonal dominance, were used to quantify differences in diversity and the overlap between TCR repertoires, respectively. A randomization procedure was used to estimate the value of these indices for a sample size of 23 TCR sequences, thereby accounting for differences in the number of sequences obtained per TCR repertoire (26, 27). The DS and CMH both range in value from 0 (minimal diversity/similarity) to 1 (maximal diversity/similarity). Not all of the patients in the cohort could be studied longitudinally for assessment of TCR repertoire diversity and similarity. For both LTS 10 and LTS 115, sample constraints limited analysis of KK10-specific CD8+ T cell clonotypes to a single time point. Furthermore, there was no cognate response to the NV9 epitope in three patients (LTS 13, LTS 57, and LTS 115) due to the absence of HLA-A*0201. Data for these patients relevant to TCR repertoire diversity are included in the relevant figures; however, the diversity and similarity values for these patients were excluded from the statistical analysis. The sample time points for which data were not available are indicated in Table I. Statistical comparisons were conducted using the Wilcoxon signed-rank test for paired data and the Mann–Whitney U test for unpaired data, using a confidence interval of 0.95. The calculations of the diversity and similarity measures and the randomization techniques were performed using Matlab (MathWorks, Natick, MA). All statistical analyses were performed using GraphPad Prism software (GraphPad, San Diego, CA).
Results
Definition of viral sequence variation and magnitude of the cognate CD8+ T cell response
In vivo HIV-1 p24 gag sequence variation over time was determined to allow optimal interpretation of TCR repertoire perturbations. Patient samples were selected to be inclusive for the maximum period of observation, from the earliest available sample after entry into the LTNP cohort until the most recent follow-up visit. Plasma viral sequences were analyzed from eight patients in total and from seven patients longitudinally over an extended period (median 7.2 y; range 4.9–9.4 y) (Table I). Two patients (LTS 12 and LTS 66) carried exclusively the WT p24 Gag KK10 epitope (KRWIILGLNK; KRL) sequence at the earliest time point. In contrast, the variant KRM epitope was the dominant sequence at the earliest time point in five patients (LTS 5, LTS 10, LTS 13, LTS 22, and LTS 57). Immune escape at position 2 (R264K/G) of the KK10 epitope was observed in a percentage of clonal sequences from four patients (LTS 5, LTS 22, LTS 57, and LTS 66) and occurred to fixation in LTS 66. In addition to mutations at positions R264 and L268, several other substitutions emerged transiently in some of the patient samples; these included mutations at solvent-exposed residues (12), such as N271S (LTS 5), N271H/T (LTS 12), and K263R (LTS 13). However, as these were minority sequences and their recurrent frequency was low, they were not considered to be an important consequence of immune-mediated selection pressure.
The magnitude of CD8+ T cell populations specific for the autologous cognate KK10 epitope, as determined by plasma virus sequencing, was determined by flow cytometry using pMHCI multimers; alternate KK10 variant-specific and, where feasible, CMV NV9-specific CD8+ T cell populations were quantified in parallel. The frequency of detectable CD8+ T cells specific for the cognate KK10 epitope (median 4.4%; interquartile range [IQR] 1.7–6.9%) was significantly higher (p = 0.005, Wilcoxon signed-rank) compared with the corresponding populations responding to the alternate KK10 epitope (median 1.2%; IQR 0.8–4.2%) (Fig. 1). The NV9-specific CD8+ T cell populations were smaller than either the cognate or variant KK10-specific populations (median 1.5%; IQR 1.0–1.8%; p = 0.032 and 0.262, respectively, Wilcoxon signed-rank). Importantly, KK10-specific CD8+ T cell populations were detected using the L268M variant multimer in patients LTS 12 and LTS 66 (4.2 and 5.4%, respectively), in whom the L268M variant epitope was not detected at any available time point. Molecular clonotype analysis was undertaken on this basis to assess the extent of pMHCI multimer binding cross-reactivity between these detected populations.
Magnitude of Ag-specific CD8+ T cell populations detected by pMHCI multimer staining. The responses shown were detected with pMHCI multimers corresponding to the autologous p24 Gag KK10 epitope sequence in plasma (cognate, dark gray), the variant p24 Gag KK10 epitope (alternate, light gray), and the CMV pp65 NV9 epitope (NV9, white). Boxes represent IQRs; black bars represent median values. Statistical analysis was conducted using the Wilcoxon signed-rank test.
Magnitude of Ag-specific CD8+ T cell populations detected by pMHCI multimer staining. The responses shown were detected with pMHCI multimers corresponding to the autologous p24 Gag KK10 epitope sequence in plasma (cognate, dark gray), the variant p24 Gag KK10 epitope (alternate, light gray), and the CMV pp65 NV9 epitope (NV9, white). Boxes represent IQRs; black bars represent median values. Statistical analysis was conducted using the Wilcoxon signed-rank test.
Dominant CD8+ T cell clonotypes cross-recognize variant epitopes
Molecular analysis of TRB gene rearrangements expressed by Ag-specific CD8+ T cell clonotypes that bound both WT and variant KK10/HLA-B*2705 multimers revealed substantial overlap in five of six patients studied longitudinally (Table II). Importantly, this binding promiscuity was largely restricted to the dominant clonotypes. Furthermore, the dominant clonotypes prevailed in the vast majority of cases for the entire duration of the study, up to a maximum of 9.4 y. An additional finding of note was the observation that clonotype hierarchy was maintained in LTS 66 despite the occurrence of immune escape (R264G; second time point). For example, the TRBV7-2/TRBJ1-5 (CASSSFGPSNQPQH) clonotype remained dominant for >4 y after the emergence of the R264G mutation despite a substantial reduction in the magnitude of the KK10-specific CD8+ T cell population. The same clonotype was also observed in LTS 5. In this patient, however, dominance of the public TRBV7-2/TRBJ1-5 (CASSSFGPSNQPQH) clonotype occurred under a distinct set of circumstances, in which the initiation of antiretroviral therapy coincided with the reversion to L268M of a previously mixed viral population within the KK10 epitope that included two distinct immune escape variants (R264G and R264K, representing 22 and 11% of viral sequences, respectively).
|
|
CDR3β amino acid sequence alignment, frequency, and IMGT-associated TRBV and TRBJ usage are shown for each epitope at sequential time points during chronic infection (dates as indicated). LTNPs are identified using a unique LTS code. Colored boxes represent intraindividual clonotypes observed at more than one time point within the KK10-specific (both epitopic variants) and NV9-specific CD8+ T cell populations; dominant cross-reactive KK10-specific clonotypes are also highlighted. Grayed cells represent the cognate KK10 epitope sequenced from plasma at each time point. Text highlighted in boldface indicates the presence of a public clonotype identified in this study or from published data.
ND, the analysis was not completed for the represented time point.
Our limited dataset, derived from a total of eight patients, was expanded by searching all currently published data reporting KK10-specific CD8+ T cell clonotype sequences (4, 6, 28–30); this resulted in matching the TRBV7-2/TRBJ2-7 (CASSFGTGGEQY) clonotype from LTS 5 with an identical sequence detected in patient 007, described by Moss et al. (28) in 1995. Importantly, the TRBV7-2/TRBJ2-7 clonotype in LTS 5 was succeeded by the public TRBV7-2/TRBJ1-5 (CASSSFGPSNQPQH) clonotype at the second time point, which was also observed as the dominant clonotype in LTS 66, thereby suggesting a propensity for the generation of public clonotypes in this individual.
Thus, the clonotypic data reveal that interindividual sharing of TRB sequences occurs within the KK10-specific CD8+ T cell response, in accordance with recently published reports in other viral systems (31–35). Furthermore, the prodigious longevity of the dominant CD8+ T cell clonotypes specific for this mutable Ag strongly suggests that TCR cross-reactivity is an important factor that shapes clonal selection in response to variable viruses in vivo (36).
Differential TCR α-chain pairing of dominant TCR β-chain amino acid sequences
In LTS 5 and LTS 13, temporal variations in KK10-specific CD8+ T cell clonotype overlap were apparent (Table II). Thus, the dominant KRL-specific TRBV7-2/TRBJ1-5 (CASSSFGPSNQPQH) sequence in LTS 5 failed to cross-recognize the KRM epitope at the first time point, yet appeared dominant in both populations at the second time point. Notably, the TRBV7-2/TRBJ2-7 (CASSFGTGGEQY) sequence remained exclusively KRM-specific throughout. Conversely, in LTS 13, the TRBV7-2/TRBJ2-3 (CASSLLGGNPTQY) clonotype was dominant in both the KRL-specific and KRM-specific CD8+ T cell populations at the first time point but did not recognize the KRL epitope, as determined by cognate pMHCI multimer binding, at the second time point. To investigate these discrepancies further, we conducted an unbiased molecular analysis of TRA gene rearrangements in these CD8+ T cell populations (Table III).
|
|
CDR3α/β amino acid sequence alignment, frequency and IMGT-associated TRAV/TRBV and TRAJ/TRBJ usage are shown at sequential time points during chronic infection (dates as indicated). Long-term non-progressors (LTNPs) are identified using a unique LTS code. Coloured boxes represent intraindividual clonotypes observed at more than one time point within either KK10-specific CD8+ T-cell population. Text highlighted in BOLD indicates the presence of a TRB public clonotype, identified within this study or from published data.
A dominant TRA gene rearrangement was detected in both the KRL-specific and KRM-specific CD8+ T cell populations at the first time point in LTS 13; this suggests pairing with the TRBV7-2/TRBJ2-3 (CASSLLGGNPTQY) sequence in each case and the presence of a single dominant clonotype in each population. At the second time point, however, the previously minor TRAV9-2/TRAJ15 (CALSDLNQAGTALI) species emerged as the dominant sequence in the KRM-specific CD8+ T cell population. Based on frequency approximations and assuming functional TCR α-chain expression, this observation suggests that the same TCR β-chain amino acid sequence can partner different TCR α-chains with attendant alterations in fine specificity for variant epitopes. The finding that the dominant TRBV7-2/TRBJ2-3 (CASSLLGGNPTQY) amino acid sequence at the two time points studied contained minor species (range 6.2–11.1%) that were differentially encoded at the nucleotide level provides additional support for this proposition (data not shown). Collectively, these data indicate that TCR β-chain prevalence can be maintained through promiscuous TCR α-chain pairing.
The situation was more complicated in LTS 5. At the first time point, the dominant TRBV7-2/TRBJ1-5 (CASSSFGPSNQPQH) sequence likely paired with the dominant TRAV13-1/TRAJ6 (CAPSGGSYIPT) sequence in the KRL-specific CD8+ T cell population. Interestingly, the exclusively KRM-specific TRBV7-2/TRBJ2-7 (CASSFGTGGEQY) sequence was also likely paired with this dominant TCR α-chain sequence. If this latter pairing was maintained between the two time points within the KRM-specific CD8+ T cell population, then it is possible that the emergence of the TRBV7-2/TRBJ1-5 (CASSSFGPSNQPQH) sequence in the KRM-specific repertoire at the second time point was due to pairing with the TRAV4/TRAJ28 (CLVVIPGAGSYQLT) sequence, which increased substantially in frequency, or to more promiscuous TCR α-chain pairing. Indeed, attendant pairing-associated alterations in fine specificity would potentially explain the absence of the TRBV7-2/TRBJ1-5 (CASSSFGPSNQPQH) sequence at the first time point in the KRM-specific CD8+ T cell population. However, other explanations are possible, and it should be noted that direct evidence for such pairing patterns requires single-cell analysis of TCR gene rearrangements.
Turnover of Ag-specific CD8+ T cell populations is virus dependent
In contrast to the largely stable nature of KK10-specific clonotypes, NV9-specific clonotypes exhibited greater variability over time in our cohort. Thus, clonal dominance was not maintained in any of the five patients in which NV9-specific CD8+ T cell populations were evaluated. The dominant clonotypes TRBV6-5/TRBJ1-2 (CASSYQTGAAYGYT) and TRBV6-5/TRBJ1-2 (CASSKQSGTGYYGYT), observed at the first time point in patients LTS 5 and LTS 66, respectively, were subdominant at the second time point with substantially lower clonotype frequencies (Table II). Conversely, the initially subdominant TRBV27/TRBJ2-1 (CASSLTSGSPYNEQF) clonotype in LTS 22 subsequently became dominant at the second time point, whereas the recurrent TRBV28/TRBJ1-1 (CASSFQGYTEAF) clonotype in LTS 12 remained subdominant despite complete replacement of the dominant clonotype with a newly emergent sequence. Public clonotypes were more frequently detected within the NV9-specific response compared with the KK10-specific response; indeed, TRB amino acid sequence sharing was observed in four of five patients studied (Table II). In this study, the TRBV7-6/TRBJ1-4 (CASSLAPGATNEKLF) clonotype was shared between LTS10 and LTS12, and the TRBV27/TRBJ1-1 (CASSLEGYTEAF) clonotype was shared between LTS12 and LTS22. In addition, several NV9-specific CD8+ T cell clonotypes observed in our cohort shared TCR amino acid sequence homology with previously published sequences: LTS 5, TRBV6-5/TRBJ1-2 (CASSYQTGAAYGYT) (37–40); LTS 10 and LTS 12, TRBV7-6/TRBJ1-4 (CASSLAPGATNEKLF) (38, 39); LTS 5, TRBV12-3/TRBJ1-2 (CASSSAHYGYT) (38, 39); LTS 12, TRBV12-3/TRBJ1-2 (CASSSANYGYT) (37–39); LTS 12 and LTS 22: TRBV27/TRBJ1-1 (CASSLEGYTEAF) (38, 39); and LTS 12, TRBV28/TRBJ1-1 (CASSFQGYTEAF) (38, 39).
To examine the Ag-specific clonotypes in more detail, a quantitative comparison of TCR repertoire overlap was undertaken using CMH as a measure of similarity; this enabled standardized similarity measurements of paired Ag-specific CD8+ T cell repertoires across the entire dataset (27). Within each patient over time, the median similarity of KRM-specific repertoires was 0.946 (range 0.505–0.984), and the corresponding value for NV9-specific repertoires was 0.319 (range 0.000–0.476); this difference was significant (p = 0.004, Mann–Whitney U test) (Fig. 2). There was also a trend for greater longitudinal similarity between TCR repertoires responding to the WT (KRL) KK10 epitope (range 0.000–0.978) compared with NV9-specific repertoires (medians 0.871 versus 0.319; p = 0.052, Mann–Whitney U test) (Fig. 2). An outlier to this trend was the similarity value of 0.000 between time points for the KK10 KRL repertoire in LTS 13, indicating that no common clonotypes were found between the first and second time point (Table II). This difference may be explained by the emergence of a variant KK10 epitope during the period of observation (L268I; Table I), with the resultant de novo expansion of specific clonotypes driven by the solvent-exposed isoleucine residue; indeed, this phenomenon has previously been described in the context of epitope variation (41). Overall, however, the high longitudinal similarity measures for the KK10-specific CD8+ T cell populations indicate the persistence of dominant clonotypes. Thus, contrary to our expectations, the KK10-specific repertoires were more stable than the contemporaneous NV9-specific repertoires in this cohort despite the presence of ongoing HIV replication.
Standardized measurement of clonotype similarity between the two most temporally separated time points for KRM-specific, KRL-specific, and NV9-specific CD8+ T cell populations calculated using CMH. Measurement of CMH similarity is assessed on a numerical scale, with minimal and maximal similarity represented by values of 0 and 1, respectively. The median time among KRL (circle), KRM (square), and NV9 (inverted triangle) data samples was 7.2 y (range 4.9–9.4 y). Data are shown for patients LTS 5, LTS 12, LTS 13, LTS 22, LTS 57, and LTS 66 for the KRL and KRM responses and for patients LTS 5, LTS 10, LTS 12, LTS 22, and LTS 66 for the NV9 response. Thus, although the majority of KK10 and NV9 samples were paired within patients (pairing indicated by joining lines), the Mann–Whitney U test was used to compare similarity over time between epitope-specific TCR repertoires due to the presence of some unpaired datasets. There was significantly less similarity over time between the NV9-specific repertoires compared with the KRM-specific repertoires and a trend for less similarity over time between the NV9-specific repertoires compared with the KRL-specific repertoires.
Standardized measurement of clonotype similarity between the two most temporally separated time points for KRM-specific, KRL-specific, and NV9-specific CD8+ T cell populations calculated using CMH. Measurement of CMH similarity is assessed on a numerical scale, with minimal and maximal similarity represented by values of 0 and 1, respectively. The median time among KRL (circle), KRM (square), and NV9 (inverted triangle) data samples was 7.2 y (range 4.9–9.4 y). Data are shown for patients LTS 5, LTS 12, LTS 13, LTS 22, LTS 57, and LTS 66 for the KRL and KRM responses and for patients LTS 5, LTS 10, LTS 12, LTS 22, and LTS 66 for the NV9 response. Thus, although the majority of KK10 and NV9 samples were paired within patients (pairing indicated by joining lines), the Mann–Whitney U test was used to compare similarity over time between epitope-specific TCR repertoires due to the presence of some unpaired datasets. There was significantly less similarity over time between the NV9-specific repertoires compared with the KRM-specific repertoires and a trend for less similarity over time between the NV9-specific repertoires compared with the KRL-specific repertoires.
TCR clonotype diversity is potentially driven by autologous epitope presentation
The number of clonotypes responding to each KK10 variant did not correlate with the magnitude of the CD8+ T cell population (p = 0.398, r = −0.236). However, this does not exclude the possibility that L268M variation exerts an impact on clonal selection within the KK10-specific repertoire over time. To examine any such effect in a statistically rigorous fashion, a standardized approach was used to assess clonal expansion within CD8+ T cell populations specific for KK10 and NV9. DS is an estimate of the probability that any two sequences selected from a pool of TCR sequences would be different. All reported DS values were estimated for a sample size of 23 TCR sequences. Comparison of data calculated in this form enables compensation for differences in sample size and interpretation bias (26).
Clonotypic diversity within the WT (KRL) KK10-specific CD8+ T cell populations was observed to decrease over time in four of five patients from a median DS of 0.320 to 0.087 (Fig. 3). Conversely, diversity within the variant (KRM) KK10-specific CD8+ T cell populations was observed to increase over the same period from a median DS of 0.320 to 0.423. In contrast, diversity within the NV9-specific CD8+ T cell populations was less variable over the period of observation. These observations are consistent with the hypothesis that clonal expansion is dependent on cognate epitope presentation, although statistical significance was not achieved, most likely due to limited sample size. Nonetheless, consideration of the viral sequence data on an individual patient basis provides further evidence in favor of the hypothesis. For example, despite maintenance of the dominant TRBV7-2/TRBJ1-5 (CASSSFGPSNQPQH) clonotype in LTS 66, a substantial reduction in repertoire diversity occurred following the emergence of the R264G immune escape mutation (Fig. 4). In this patient, the KK10-specific CD8+ T cell population comprised six clonotypes at the first time point (DS = 0.320); 3 y later, a highly skewed repertoire containing four clonotypes (DS = 0.000) was observed in conjunction with the R264G mutation. At a third time point, the KK10-specific repertoire consisted of only two clonotypes (DS = 0.000), and no WT viral epitope sequence was detected despite extensive sequencing (Table I). Thus, overall, these data suggest that repertoire diversity decreases in the presence of viral mutations that diminish epitope presentation, perhaps reflecting enhanced competition for Ag; such findings are consistent with previous studies that delineated cognate repertoire perturbations in the presence of KK10 sequence variation (4, 6).
Longitudinal change in DS values for KK10-specific and NV9-specific CD8+ T cell populations. Calculated diversity (DS) is shown according to the pMHCI multimer used to isolate the cognate CD8+ T cell population: p24 Gag KRL/HLA-B*2705 (left panel), p24 Gag KRM/HLA-B*2705 (middle panel), and CMV pp65 NV9/HLA-A*0201 (right panel). Time points 1 (t1) and 2 (t2) represent the first available sample after cohort entry and the time at which viral immune escape was first recorded or the last available visit in the case of patients without evidence of immune escape, respectively. Data are shown for patients LTS 5 (square), LTS 12 (inverted triangle), LTS 13 (diamond), LTS 22 (circle), and LTS 57 (hexagon) for the KRL and KRM responses and for patients LTS 5, LTS 10 (triangle), LTS 12, LTS 22, and LTS 66 (open circle) for the NV9 response; the corresponding data for KK10-specific CD8+ T cell populations isolated from patient LTS 66 are shown in Fig. 4.
Longitudinal change in DS values for KK10-specific and NV9-specific CD8+ T cell populations. Calculated diversity (DS) is shown according to the pMHCI multimer used to isolate the cognate CD8+ T cell population: p24 Gag KRL/HLA-B*2705 (left panel), p24 Gag KRM/HLA-B*2705 (middle panel), and CMV pp65 NV9/HLA-A*0201 (right panel). Time points 1 (t1) and 2 (t2) represent the first available sample after cohort entry and the time at which viral immune escape was first recorded or the last available visit in the case of patients without evidence of immune escape, respectively. Data are shown for patients LTS 5 (square), LTS 12 (inverted triangle), LTS 13 (diamond), LTS 22 (circle), and LTS 57 (hexagon) for the KRL and KRM responses and for patients LTS 5, LTS 10 (triangle), LTS 12, LTS 22, and LTS 66 (open circle) for the NV9 response; the corresponding data for KK10-specific CD8+ T cell populations isolated from patient LTS 66 are shown in Fig. 4.
Longitudinal analysis of TCR repertoire perturbations in patient LTS 66 during the emergence of a fixed escape mutation. A, DS values (dotted line: KK10, circle; NV9, triangle) and magnitude of the corresponding Ag-specific CD8+ T cell populations (KK10, column with diagonal hatching; NV9, column with boxed hatching). B, KK10 epitope variation (WT KK10 sequence, black fill; R264G immune escape sequences, chequered/diagonal fill). C, Expressed TRB gene rearrangements depicted as in Table II (dominant persistent clonotype, dark gray; subdominant persistent clonotype, light gray; public clonotype, boldface). For minor species with respect to the dominant clonotype, detected single CDR3 amino acid substitutions at 3′ residues within otherwise TRBJ1-5 germline-encoded sequences may represent molecular errors rather than true recombinatorial variation; in this event, even greater restriction of the cognate KK10-specific CD8+ T cell repertoire may have occurred between the first and second time points.
Longitudinal analysis of TCR repertoire perturbations in patient LTS 66 during the emergence of a fixed escape mutation. A, DS values (dotted line: KK10, circle; NV9, triangle) and magnitude of the corresponding Ag-specific CD8+ T cell populations (KK10, column with diagonal hatching; NV9, column with boxed hatching). B, KK10 epitope variation (WT KK10 sequence, black fill; R264G immune escape sequences, chequered/diagonal fill). C, Expressed TRB gene rearrangements depicted as in Table II (dominant persistent clonotype, dark gray; subdominant persistent clonotype, light gray; public clonotype, boldface). For minor species with respect to the dominant clonotype, detected single CDR3 amino acid substitutions at 3′ residues within otherwise TRBJ1-5 germline-encoded sequences may represent molecular errors rather than true recombinatorial variation; in this event, even greater restriction of the cognate KK10-specific CD8+ T cell repertoire may have occurred between the first and second time points.
Phenotypic analysis indicates that clonotype survival is associated with dominance
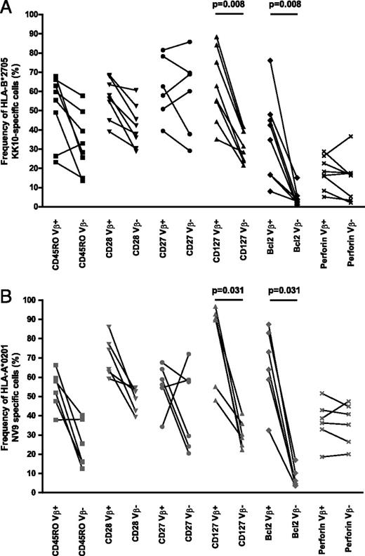
Flow cytometric analysis of Ag-specific CD8+ T cell populations was conducted to compare the phenotypic characteristics of constituent dominant and subdominant clonotypes, together with markers of survival. Clonotype sequence data were used to guide the selection of appropriate Vβ-specific mAbs for use in conjunction with the relevant pMHCI multimer. This approach was validated using a pMHCI multimer-labeled CD8+ T cell population specific for the CMV pp65 TM10 epitope restricted by HLA-B*0702 (data not shown) (23). Further study using this approach was precluded in LTS 57 because no Vβ-specific mAb was available for the dominant TRBV7-6/TRBJ2-7 (CASSLVGRGLDEQY) clonotype. In addition, it should be noted that some degree of data skewing with these experiments is inevitable in this cohort due to the expression of identical Vβ genes by both dominant and subdominant TCR clonotypes; however, in the majority of cases, the difference in frequency for Vβ-matched clonotypes was considered substantial enough to enable interpretation of the results. One exception to this occurred in LTS 5 at the second time point of analysis, in whom both the TRBV7-2/TRBJ1-5 (CASSSFGPSNQPQH) and TRBV7-2/TRBJ2-7 (CASSFGTGGEQY) clonotypes were abundant at 56 and 36%, respectively. The surface markers CD27, CD28, CD45RO, and CD127 were measured together with the intracellular expression of Bcl-2 or perforin. Direct comparison was made for each marker between dominant and subdominant Ag-specific CD8+ T cell clonotypes (Fig. 5).
Flow cytometric characterization of individual Ag-specific CD8+ T cell clonotypes. Frequency of CD45RO (square), CD28 (inverted triangle), CD27 (circle), CD127 (triangle), Bcl-2 (diamond), and perforin (cross) expression in HLA-B*2705 KK10-specific (A) and HLA-A*0201 NV9-specific (B) CD8+ T cell populations segregated according to dominant (Vβ+) and subdominant (Vβ−) clonotypic subpopulations. Significance was assessed using the Wilcoxon signed-rank test for paired values.
Flow cytometric characterization of individual Ag-specific CD8+ T cell clonotypes. Frequency of CD45RO (square), CD28 (inverted triangle), CD27 (circle), CD127 (triangle), Bcl-2 (diamond), and perforin (cross) expression in HLA-B*2705 KK10-specific (A) and HLA-A*0201 NV9-specific (B) CD8+ T cell populations segregated according to dominant (Vβ+) and subdominant (Vβ−) clonotypic subpopulations. Significance was assessed using the Wilcoxon signed-rank test for paired values.
The most notable finding within the KK10-specific CD8+ T cell populations was that dominant clonotypes expressed significantly greater levels of both CD127 and Bcl-2 compared with subdominant clonotypes (p = 0.008 for each comparison, Wilcoxon signed-rank) (Fig. 5A). Similar differences were apparent within the NV9-specific CD8+ T cell populations (p = 0.031, Wilcoxon signed-rank) (Fig. 5B). Differences in the expression of standard phenotypic markers (CD27, CD28, CD45RO) and perforin content between dominant and subdominant clonotypes did not achieve statistical significance. Notably, however, NV9-specific CD8+ T cell populations expressed greater levels of perforin compared with KK10-specific CD8+ T cell populations; this is consistent with previous studies that describe impaired HIV-specific CD8+ T cell cytolytic function (42).
Discussion
In this study, perturbations of the Ag-specific CD8+ T cell repertoire in relation to viral sequence variation were assessed for the immunodominant HIV p24 Gag KK10 epitope restricted by HLA-B*2705. The principal findings were: 1) dominant KK10-specific clonotypes exhibited substantial cross-reactivity for naturally occurring epitope variants; 2) dominant KK10-specific clonotypes were highly stable and persisted over many years; 3) dominant TCR β-chain amino acid sequences could potentially be maintained through promiscuous TCR α-chain pairing with attendant alterations in fine specificity for variant epitopes; and 4) dominant KK10-specific clonotypes displayed an antiapoptotic phenotype, characterized by increased expression levels of CD127 and Bcl-2.
During our initial characterization of the KK10-specific CD8+ T cell response in HLA-B*2705+ LTNPs, we observed substantial cross-reactivity in six of seven patients with respect to binding of the WT (KRL) and variant (KRM) pMHCI multimers. Thus, contrary to our original hypothesis and structural predictions, a clearly defined pattern of altered clonotype usage specific for WT and variant KK10 epitopes was not apparent beyond the atypical case of LTS 57. However, clearly defined examples of TCR repertoire perturbation associated with epitope variation were found in some cases, most strikingly a significant restriction of the KK10-specific CD8+ T cell repertoire in the presence of diminished Ag presentation through loss of HLA-B*2705 binding due to peptide anchor residue mutations at position R264 (Fig. 4). These data are in accord with avidity-based models of clonal selection in the presence of limiting Ag (38, 43).
In the majority of cases, the observed cross-reactivity for WT and variant epitopes was limited to the dominant KK10-specific CD8+ T cell clonotypes (Table II). This suggests that the ability to cross-recognize naturally occurring epitope variants in the face of a persistent and mutable virus confers a selection advantage on promiscuous Ag-specific clonotypes. Two scenarios can be envisaged. First, sequential selection events could occur, in which specific clonotypes are initially recruited in response to the Ag present in the infecting viral strain prior to a secondary process comprising adaptation to an emerging variant sequence. Under these circumstances, cross-reactive clonotypes within the memory pool would survive on the basis of an intrinsic avidity for the variant epitope, and less promiscuous clonotypes would be disadvantaged in the absence of cognate Ag stimulation. This scenario is consistent with the typical patterns of progressive KK10 epitope mutation that have been described in HLA-B*2705+ individuals infected with HIV-1 (1, 7, 9). Second, the persistent presence of the original Ag, even at low or undetectable levels, might continue to drive the expansion of cross-reactive clonotypes, which would effectively have access to more Ag. Consistent with this notion, deep sequencing of viral quasispecies in SIV infection has recently revealed the complex array of in vivo escape mutations that lie beyond the means of conventional sequencing approaches (44). Combined with the observation that differential TCR α-chain pairing can alter the cross-reactivity profiles of individual TCR β-chains, these findings demonstrate the complexity of Ag-specific clonotype selection in the presence of a persistent variable virus and highlight the importance of combinatorial analysis to establish clonotype identity in TCR repertoire studies.
The stability of KK10-specific CD8+ T cell clonotypes over long time periods was an unexpected finding given the level of Ag exposure inferred from viral load measurements in our cohort and the previously reported rates of CD8+ T cell activation, proliferation, and apoptosis in HIV-1 infection. However, similar clonotypic tenacity has been reported in other chronic viral infections (16). Furthermore, clonotypes specific for the NV9 epitope derived from CMV exhibited greater levels of turnover within the period of observation. This is a counterintuitive result, given that there was no clinical evidence of CMV reactivation in these patients, albeit in the absence of quantitative measures of antigenemia or viral load. One possibility for this discrepancy may reflect the selective loss of HIV-specific CD4+ T cell help (45–48). Thus, although selection and survival of Ag-specific CD8+ T cells can be observed in the absence of CD4+ T cell help (49, 50), it is feasible that the capacity to generate and maintain de novo expansions of HIV-specific CD8+ T cell clonotypes might be compromised by the loss of specific helper functions in comparison with the relatively unaffected physiological renewal that could allow ongoing recruitment and replacement of CMV-specific CD8+ T cell clonotypes from the naive pool (51). Consistent with this idea, the progressive loss of diversity within the KK10-specific CD8+ T cell repertoire in LTS 66 was associated with declining total CD4+ T cell counts (Fig. 4, Table I); however, HIV-specific CD4+ T cell responses were not examined in this study due to sample constraints. In addition, enhanced herpesvirus reactivation has been reported in HIV-1 coinfected individuals, which may permit a novel environment for clonotype recruitment through site-specific CMV reactivation (52–54). Thus, combined with ongoing CD4+ T cell helper function, CMV-specific CD8+ T cell memory generation (55) and maintenance (56–62) in the periphery may proceed unabated with consequent implications for the observed level of clonotypic variability over time.
It is noteworthy that higher degrees of KK10-specific CD8+ T cell turnover have been observed in other studies (4); thus, it is likely that multiple factors interact to determine the patterns of clonal turnover within individuals. For example, Almeida et al. (4) examined clonotypic expression of CD57 to delineate a key role for cellular senescence in the phenomenon of clonotype loss and succession. However, individual clonotypes can exist in multiple states of differentiation at any one time. Furthermore, CD57 expression is variable at the clonotypic level within HIV-specific memory CD8+ T cell populations (63). These observations suggest that factors such as the dynamics of TCR recognition, especially in the context of Ag sequence variability, may also contribute to the ontogeny and ultimate destiny of individual clonotypes.
Increased expression of CD127 and Bcl-2 was a universal feature of dominant Ag-specific clonotypes in the current study. This is a notable observation, given the characteristic skewed differentiation status and frequently defective functional profile of HIV-specific CD8+ T cell populations that arise in the absence of CD4+ T cell help (42, 64). These findings raise the issue of cause and effect that pertains to all human studies (i.e., is this phenotypic pattern reflective or determinative in the phenomenon of clonotype dominance?). If such an antiapoptotic phenotype is a determinant of clonotype dominance, then it would seem important to postulate a link between the nature of the TCR-derived signal and the resultant cellular phenotype in order for this hypothesis to be supported by the currently available data. It is established that avidity for Ag is a major determinant of clonotype selection in the presence of persistent infections with genetically stable viruses (38). However, this does not necessarily mean that a similar process dictates all selection events or that it dominates in the case of a variable persistent viral infection, especially in the context of a defective immune system. Furthermore, avidity-based selection drives dominant clonotypes to greater levels of differentiation, predisposing to clonal senescence and exhaustion (4, 38, 39, 65). Thus, clonotypes with high levels of avidity may be selectively eliminated under certain circumstances; indeed, this has been described in the context of acute HIV infection, during which viral replication can be overwhelming (66). Interestingly, in addition, a previous study identified a public HIV-1 Nef-specific clonotype with an unusually long CDR3 that was preferentially selected in several HLA-B*0801+ LTNPs and exhibited both a cross-reactive profile in the context of naturally occurring epitope variants and a pronounced resistance to apoptosis in vitro (67). It remains to be determined whether cross-reactivity for naturally occurring viral variants directly leads to an antiapoptotic phenotype in vivo; indeed, the observation that dominant NV9-specific clonotypes displayed similar characteristics, despite recognition of an invariant Ag, suggests either that these phenomena are not directly linked or that different processes can generate similar phenotypes. However, if the dominant cross-reactive clonotypes detected in our cohort were originally primed with a different antigenic sequence carried by the founder virus, then it is not unreasonable to propose that their ensuing avidity for subsequent variants might be reduced. Under these circumstances, a lesser degree of differentiation or even reversion to a central memory-like phenotype might be expected (68, 69); indeed, the phenotypic data, despite their limitations with respect to overlap within the Vβ-defined populations, support this idea (Fig. 5). In this scenario, then, progressive accumulation in a relatively protected state of incomplete differentiation, combined with a potentially enhanced replenishment capacity, may lead to stable clonal dominance over time. The recent observation that programmed death-1 inversely associates with CD127 and Bcl-2 expression levels, especially within less differentiated memory compartments (70), is consistent with this suggestion. However, a more pervasive explanation might apply given the finding of similar phenotypic characteristics within the contemporaneous NV9-specific CD8+ T cell repertoires, and further detailed studies that incorporate direct measurements of clonal turnover are required to address these issues formally. Finally, it is noteworthy that IL-7 levels are elevated in HIV-1 infection and correlate positively with disease progression; moreover, several groups have reported lower circulating levels of IL-7 and increased expression of CD127 in LTNPs (71, 72). Thus, the enhanced expression of CD127 observed for dominant clonotypes might provide a relative survival advantage in the setting of minimally progressive HIV infection.
In summary, the current study demonstrates the ability of dominant HIV-specific CD8+ T cell clonotypes to persist in vivo for prolonged periods of time; this feat of survival was associated with the cross-recognition of naturally occurring epitope variants and an antiapoptotic phenotype. Overall, these data highlight the complexities of clonotype selection in the presence of a persistent and genetically unstable viral infection and provide insight into the mechanisms that govern clonotype survival in vivo.
Acknowledgements
We thank the donors who provided blood samples for experimental use and the staff who performed PBMC isolation. We also thank Dr. Palanee Ammaranond for providing the p24 Gag sequence data required for this analysis and Jerome Darakdjian and David Ambrozak for assistance with the flow cytometric isolation of Ag-specific CD8+ T cell populations.
Disclosures The authors have no financial conflicts of interest.
Footnotes
This work was supported by the Australian Government Department of Health and Ageing, the Intramural Program of the National Institutes of Health (Vaccine Research Centre, National Institute of Allergy and Infectious Diseases), and the Australian National Health and Medical Research Council via Project and Program grants, a Dora Lush (Biomedical) Postgraduate Research Scholarship (to D.v.B.) and a Practitioner Fellowship (to A.D.K.). D.A.P. is a Medical Research Council (U.K.) Senior Clinical Fellow, V.V. is an Australian Research Council Future Fellow, and M.P.D. is a Sylvia and Charles Viertel Senior Medical Research Fellow.
The views expressed in this publication do not necessarily represent the position of the Australian Government. The National Centre in HIV Epidemiology and Clinical Research is affiliated with the Faculty of Medicine, University of New South Wales.
Abbreviations used in this paper:




